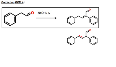
Tu as 2 cétone au départ.
Dans l'une d'elle tu fais agir NaOH, une base forte (pKa (OH-) = 14) qui va déprotoner en alpha formant l'ion énolate.
Par cette formation de l'ion énolate tu viens de former un carbone nucléophile.
Ce carbone va aller attaquer le petit carbone électrophile de l'autre molécule, toujours intact le reliant à l'oxygène par une liaison pi.
Ainsi, après l'attaque, tu reformes ta cétone sur ta 1ère molécule, et tu formes un O-
Ce O- sera la cible d'H2O permettant la formation d'un alcool.
Voili
