Avant tout bonne année 2012, bonne santé et tout ce qui va avec et surtout bon courage pour les derniers jours (J-3
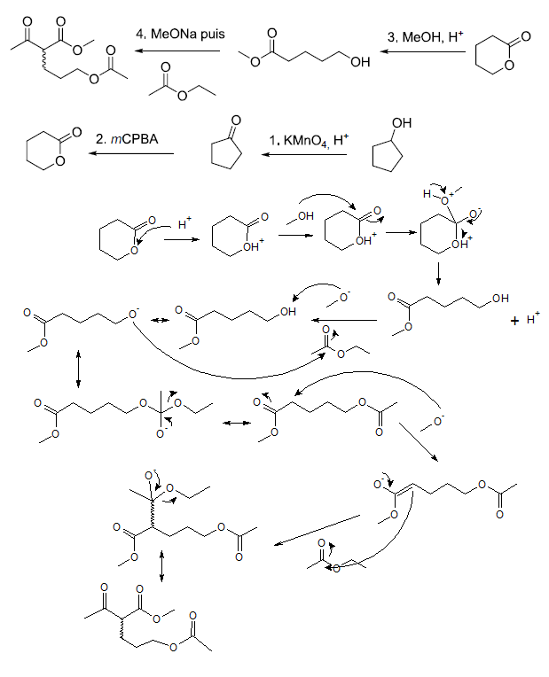
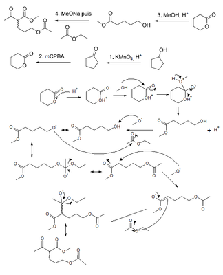
Bon la correction du qcm 25 de la page 156 me dérange, je n'arrive pas à tomber sur la molécule de départ en partant du 1-hydroxy-pentanoate de méthyle + MeONa / ethanoate d'éthyle, je ne tombe vraiment pas sur cette molécule
