Bonjour,
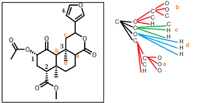
Alors d'abord la molécule

- Sans titre1.png (12.75 Kio) Vu 268 fois
Juste un petit problème dans le QCM 13 du CCB. Je comprends pas comment on fait pour trouver la configuration absolue du carbone n°3

Il faut regarder chaque rang, n'hésitez pas au début à faire l'arbre de manière à ne pas vous tromper, les substituants sont différents sur tous les carbones.
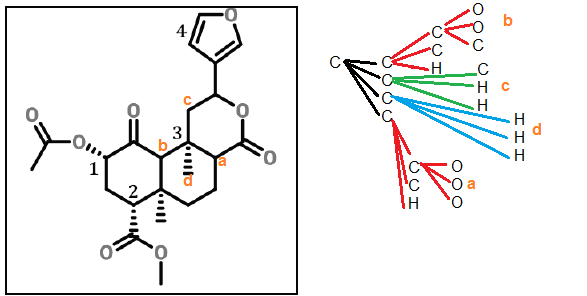
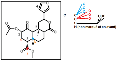
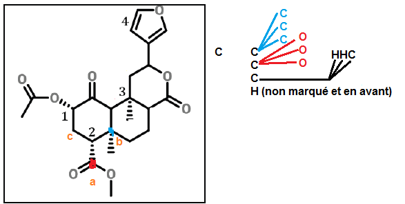
Salut!! J'ai le meme probleme que Xoco mais avec le carbone 2. Je comprends pas pourquoi il est de configuration R:s

Pour le carbone 2 H est en avant donc tu dois inverser le sens de rotation de a - b - c, a-b-c tourne dans le sens S mais H est en avant tu inverses et la configuration du carbone 2 est donc R.
Voilà j'espère que ça va comme explication, sinon dites moi et je détaille encore plus
