Le Guide pour bien débuter la LAS : Ici

Tutoriel Forum : Ici

Planning des Séances Tutorat et EB : ICI !
Errata : Séances Tutorat et EB, Annatuts, Ronéos
Centres de Téléchargement : ICI !
Réponses des Profs : ICI !
Annales : Achat, Corrections Officieuses
Annatuts : 2025-2026, Sommaire
MCC 25/26 : ICI
Candidature MMOPK : ICI
Terminale Santé : ICI

INSCRIPTIONS ATELIERS ORAUX : Ici

SUJETS EB SEMESTRE 2 : Ici

Newsletter : ICI


DM de Novembre QCM 4 et 5 Réaction


DM de Novembre QCM 4 et 5 Réaction

Messagepar MAnaïs » 20 Nov 2011, 16:25

Rebonjour tout le monde,

J'ai une soucis au niveau des deux dernières réactions des qcm 4 et 5. Serait-il possible d'avoir les détails de ces deux dernières ?
Merci beaucoup :)

Edit: je m'étais trompée de sujet ^^
Dernière édition par MAnaïs le 20 Nov 2011, 16:42, édité 1 fois.
.. On a conscience avant, on prend conscience après .. - Oscar Wilde -
MAnaïs
Apprenti Carabin
 
Messages: 163
Inscription: 21 Sep 2011, 14:31

Re: ANNATUT' QCM 4 et 5 Réaction

Messagepar WatiGG » 20 Nov 2011, 16:35

Salut, ce sont bien les QCM 24 et 25 dont tu parles ?
Les QCM 4 et 5 ne portent pas sur la réactivité..
Dernière édition par WatiGG le 20 Nov 2011, 16:50, édité 1 fois.
Tuteur de chimie orga 2012-2013 retraité
VP G33K et VP Communication
BDE Médecine Nice 2013-2014

π-Carabins

Cliquez pour vous détendre.
Avatar de l’utilisateur
WatiGG
Administrateur
Administrateur
 
Messages: 1356
Inscription: 13 Sep 2010, 19:33

Re: DM de Novembre QCM 4 et 5 Réaction

Messagepar MAnaïs » 20 Nov 2011, 16:44

Non, désolé WatiGG c'était du DM en fait que je parlais, l'orga me rends vraiment chèvre :p En plus vous y avait déjà répondu. Cependant j'aurai une question sur l'exercice 7.. Pourrais-tu m'aider ?
Encore désolé --'
.. On a conscience avant, on prend conscience après .. - Oscar Wilde -
MAnaïs
Apprenti Carabin
 
Messages: 163
Inscription: 21 Sep 2011, 14:31

Re: DM de Novembre QCM 4 et 5 Réaction

Messagepar WatiGG » 20 Nov 2011, 16:45

Je vais essayer, pose ta question ! =)
Tuteur de chimie orga 2012-2013 retraité
VP G33K et VP Communication
BDE Médecine Nice 2013-2014

π-Carabins

Cliquez pour vous détendre.
Avatar de l’utilisateur
WatiGG
Administrateur
Administrateur
 
Messages: 1356
Inscription: 13 Sep 2010, 19:33

Re: DM de Novembre QCM 4 et 5 Réaction

Messagepar MAnaïs » 20 Nov 2011, 16:56

Je vais faire d'une pierre 2 coups (je profite de trouver quelqu'un ^^ pour m'éviter de désespérer):
En ce qui concerne le 7: en fait, je suis bloquée juste après avoir fait la saponification de l'ester.. Je ne sais pas quoi faire quand il dise "milieu acide".
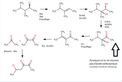
En ce qui concerne le 5: l'image parle d'elle même.
Fichiers joints
1.png
.. On a conscience avant, on prend conscience après .. - Oscar Wilde -
MAnaïs
Apprenti Carabin
 
Messages: 163
Inscription: 21 Sep 2011, 14:31

Re: DM de Novembre QCM 4 et 5 Réaction

Messagepar WatiGG » 20 Nov 2011, 17:22

Alors Pour la 7, on place en milieu acide pour protonner le carboxylate.
La saponification conduit à la formation d'un carboxylate COO- et pas un acide carboxyllique COOH, d'où le milieu acide pour obtenir un COOH, qui lui pourra réagir avec SOCl2 !

Pour le 5, l'oxydation d'un alcool secondaire ne peut pas conduire à la formation d'un acide carboxyllique ! On obtiendra forcément une cétone. Pourquoi ? Il aurait fallu casser la liaison C—C, ce que ne peut pas faire un oxydant (ce sont des liaisons très difficiles à rompre).
Il aurait fallu qu'il soit primaire (donc ici lié à un seul carbone) pour obtenir un acide carboxyllique ! =)

J'espère que tout est réglé !
Tuteur de chimie orga 2012-2013 retraité
VP G33K et VP Communication
BDE Médecine Nice 2013-2014

π-Carabins

Cliquez pour vous détendre.
Avatar de l’utilisateur
WatiGG
Administrateur
Administrateur
 
Messages: 1356
Inscription: 13 Sep 2010, 19:33

Re: DM de Novembre QCM 4 et 5 Réaction

Messagepar MAnaïs » 20 Nov 2011, 17:34

Ah ! Okay ! Génial ! Merci beaucoup ^^
.. On a conscience avant, on prend conscience après .. - Oscar Wilde -
MAnaïs
Apprenti Carabin
 
Messages: 163
Inscription: 21 Sep 2011, 14:31


Retourner vers Chimie Organique



Qui est en ligne

Utilisateurs parcourant ce forum: Aucun utilisateur enregistré et 1 invité