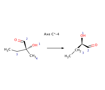
Merci pr le sujet, il était top !! Par contre j'ai une question par rapport au qcm 14, je n''arrive pas à trouver la config R pour le carbone n°2... Est ce que qq1 peut m'expliquer ? Merci d'avance


Babycrazy a écrit:ET vla je me suis encore fait avoir! Merci bcp en tt cas




Retourner vers Chimie Organique
Utilisateurs parcourant ce forum: Aucun utilisateur enregistré et 1 invité