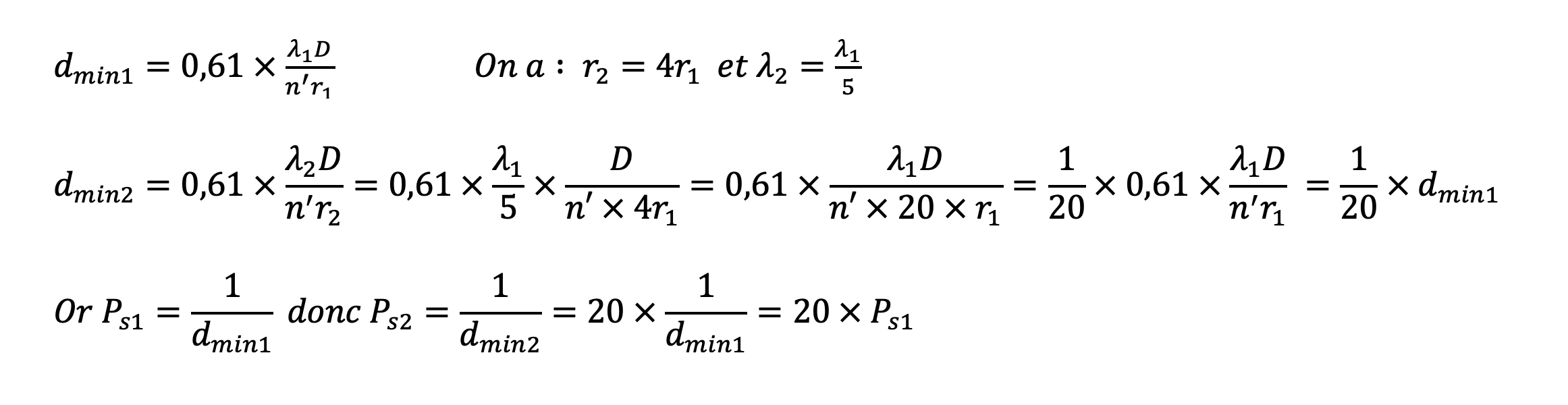
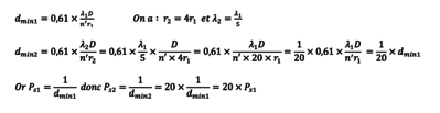
b. Si je multiplie le rayon d’ouverture par 4 et que je divise la longueur d’onde par 5, le pouvoir de résolution spatial sera divisé par 5/4
Si on peut m'expliquer ce serait super
Merci



Chef Tut' Logistique 2022-2023 
Tuteur de Physique/Biophysique 2021-2022




Utilisateurs parcourant ce forum: Aucun utilisateur enregistré et 1 invité