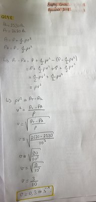
petite question concernant la correction de ce QCM.
Je ne comprends pas d'où sort le 2 dans la correction personnellement en faisant Pterm - P aval je trouve : 1/2𝜌𝑣2 + 1/2𝜌𝑣2 (mais ça ne fait pas x2 uniquement ^2)
Pourrais tu m'aider pour comprendre un peu mieux la méthodo ?
MERCI BEAUCOUP



si t'as des questions par rapport à ça, le tutorat et tout n'hésites pas! 