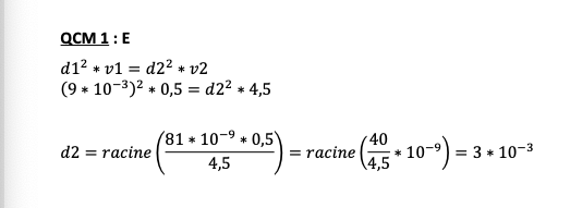
Moi je suis arrivée à racine (40/4,5 *10^-9) mais je sais pas ensuite comment on trouve le résultat: j'avais pensé du coup à racine de 40 =20 et racine de 9 = 3 mais pour 4,5 ? et surtout si vous avez une méthode rapide pour le concours ?
Puis au départ aussi j'avais pas trouvé 40/4,5 mais 40,5/4,5 puisque 81/2 = 40,5. Est ce que on arrondit pour que ce soit plus facile ?
Merci



