J'arrive pas vraiment à comprendre la correction des items C et D concernant le qcm sur cette figure :
Du coup d'abord pour le C :
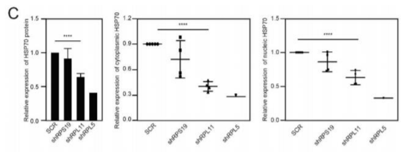
C) En moyenne, pour la mutation shRPL11, on retrouve l’HSP70 en plus grande quantité dans le cytoplasme que dans que dans le noyau
Il est compté vrai et je comprends pas trop pourquoi, on voit bien que pour cette mutation on a moins de HSP70 en moyenne dans le cytoplasme (environ 0,4 sur le graphique du milieu) que dans le noyau (>0,6 dans le graphique de droite).
Ensuite pour le D :
D) La mutation shRPL5 est la mutation la plus sévère dans le cadre de l’anémie de Blackfan-Diamond
Et la correction nous dit :
D) Faux : Co est justement une cellule contrôle
Alors je vois pas trop d'où sort le "Co" que ce soit dans le texte où les schémas (d'ailleurs vous en parlez aussi dans la correction du A mais là l'item est quand même juste je pense), tout ce que je vois c'est que l'item parait juste vu que la mutation en question semble le plus faire baisser la quantité de HSP70
Après j'en suis pas sûr à cause de cette phrase de l'énoncé :
RPL5 est montré comme un autre gène non RPS19 (****p<0.0001)
On parle de RPL5 mais je comprends pas trop le sens de la phrase là...
Voilà voilà je suis pas contre un peu plus de précisions sur la correction de ce QCM
Merci d'avance

Chef Tut' Logistique 2022-2023
Tuteur de Physique/Biophysique 2021-2022 
La correction est donc pas bonne, je vais la mettre sur le post errata, la réponse au QCM 3 est AD ! 