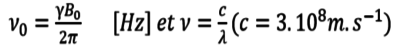
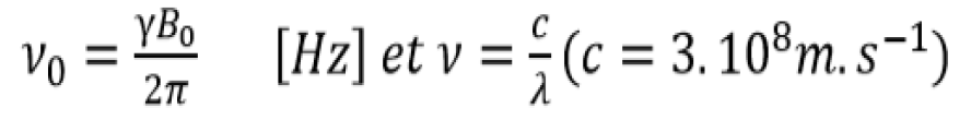
Dans ce DM pour le qcm 4 items A et B je ne comprends pas quel calcul faire ?
QCM 4 : Sachant une fréquence de Larmor égale à 42,6 MHz, donnez la (les) proposition(s) vraie(s) :
Données : CAS 1 : B0 = 1 T ; CAS 2 : B0 = 2 T ; CAS 3 : 0,5 T ; CAS 4 : B0 = Champ magnétique terrestre
A) La longueur d’onde associé au cas 1 est supérieur au cas 2
B) La longueur d’onde associé au cas 4 est supérieur au cas 3
Merci d’avance



