Le Guide pour bien débuter la LAS : Ici

Tutoriel Forum : Ici

Planning des Séances Tutorat et EB : ICI !
Errata : Séances Tutorat et EB, Annatuts, Ronéos
Centres de Téléchargement : ICI !
Réponses des Profs : ICI !
Annales : Achat, Corrections Officieuses
Annatuts : 2025-2026, Sommaire
MCC 25/26 : ICI
Candidature MMOPK : ICI
Terminale Santé : ICI

INSCRIPTIONS ATELIERS ORAUX : Ici

SUJETS EB SEMESTRE 2 : Ici

Newsletter : ICI


PACES Images UE1 tut 7


PACES Images UE1 tut 7

Messagepar Léaccouchement » 03 Nov 2020, 19:13

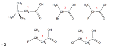
QCM 3 :
QCM 3.png


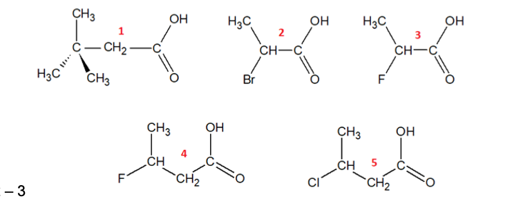
QCM 8 :
QCM 8.png


QCM 10 :
QCM 10.png


QCM 11 :
QCM 11.png


QCM 12 :
QCM 12.png


QCM 13 :
QCM 13.png


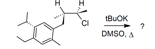
QCM 23 :
QCM 23.png
QCM 23.png (41.69 Kio) Vu 1064 fois
CHEF TUT' LOG 2020-2021

:coeur: Tutrice Biostat' 2019-2020 :coeur:
Avatar de l’utilisateur
Léaccouchement
Chef TuT'
Chef TuT'
 
Messages: 596
Inscription: 05 Aoû 2018, 13:53

Retourner vers PACES



Qui est en ligne

Utilisateurs parcourant ce forum: Aucun utilisateur enregistré et 1 invité