A propos de ce qcm: On mesure par cathétérisme les pressions dans l’artère pulmonaire dans des conditions d’écoulement horizontal et en considérant la masse volumique du sang égale à 103 kg.m-3 (on considère le sang comme un liquide idéal). La pression terminale est mesurée à 1600 Pa et la pression latérale à 1580 Pa. Quelle est la valeur de la vitesse d’écoulement en cm.s-1 ?
Tout d'abord j'ai un peu bugué au départ psq dans le cours on dit que d'après Bernouilli on a:
Ptotal= ro g h + 0,5 ro v^2+ P= cst
donc P total= pression de pesanteur + Pression cinétique + P latéral= cst
donc ici on cherche Pc=Ptotal-Pression pesanteur - Pression latéral
ce qui m'a fait un peu douté c'est la pression de pesanteur rogh, dcp on a pas sa valeur mais on dit dans l'énoncé qu'on a un écoulment horizontal et donc dcp on peut affirmer que la pression est cst et que P total=Pc+ Platéral=cst
mais dcp si tu pouvais me réexpliquer ce passage, et pourquoi on "ne prends pas en compte" la pression de pesanteur alors qu'elle fait parti de la loi de Bernouilli
Ensuite dans l'énoncé on nous donne la Pressio terminale, mais dans la formule de Bernouilli on a la pression totale, donc je me suis demandée si c'était la même chose car à un moment (partie 4 Mesure de la pression d'un conduit) on voit que la pression terminal =Platérale + Pcinétique (mais dcp on ne parle pas de pression de pensanteur comme dans Bernouilli)
mais en fait je crois que je viens de capter mon erreur mdrrrr en l'écrivant en fait il fallait seulement faire Pcinétique= Pterminale- Platérale et on a bien les 2 valeurs dans l'énoncé , dcp j'ai une nouvelle question
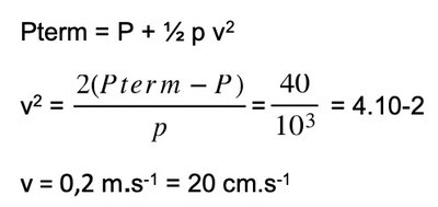
et pour finir on devait calculer la vitesse donc v= racine(2x delta P/ro)
et donc on obtient v^2= racine (4x10-2) soit 0,04 et je me trompe quand j'enlève la racine psq je triuve 0,02 m/s soit 2cm/s et le prof trouve 20 cm/s
voila dsl pour ce post assez long avec pas mal de questions, merci de prendre le temps de répondre à chaque fois vous êtes au top et vous nous aidez tellement, coeur sur vous




