Salut !
Alors justement, dans ton exemple, c'est le
premier carbone qui va l'emporter et non pas le second !
On reprend ce qui est dit juste au-dessus :
1ère étape : le groupement prioritaire sera celui avec l'atome avec
le numéro atomique Z le plus élevé. Ici on n'additionne rien, on ne cumule pas les Z, on regarde seulement l'atome avec la valeur de Z maximale dans chaque groupement.
2ème étape :
si et seulement si l'atome avec le Z le plus élevé est
identique dans chaque groupement, alors
on additionne tous les numéros atomiques Z (en général on ne compte pas les H). Ici on prend en compte tous les atomes et pas seulement celui avec le Z le plus élevé.
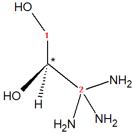
Exemple 1 :

- ex 1.png (3.64 Kio) Vu 534 fois
1er degré :
C* : lié à 1 H, 1 O et 2 C (C1 en haut et C2 en bas à droite).
On a donc le H numéroté 4, le O numéroté 1 et indétermination au niveau des 2 C.
2nd degré :
C1 : lié à 1 O (Z=8) et 2 H (Z=1).
C2 : lié à 3 N (Z=7).
→
Étape 1 : on a Z ("atome lié à C1 avec le Z le plus élevé" → O) > Z ("atome lié à C2 avec le Z le plus élevé" → N). Le groupement prioritaire étant celui comportant l'atome avec le Z le plus élevé, c'est ici
C1 qui l'emporte sur C2. On ne cherche même pas à effectuer l'addition des Z de la deuxième étape !
On se fait la fin de la configuration absolue vite fait :
On a donc C1 numéroté 2 et C2 numéroté 3. On tourne dans le sens horaire. Le groupement 4 est en arrière, on n'inverse pas la configuration. On a une
configuration absolue Rectus (R).
Exemple 2 :

- ex 2.png (5.22 Kio) Vu 534 fois
1er degré :
C* : lié à 1 H, 1 O et 2 C (C1 en haut et C2 en bas à droite).
On a donc le H numéroté 4, le O numéroté 1 et indétermination au niveau des 2 C.
2nd degré :
C1 : lié à 1 O (Z=8), 1 C (Z=6) et 1 H (Z=1).
C2 : lié à 1 O (Z=8), 1 N (Z=7) et 1 C (Z=6).
→
Étape 1 : on a Z ("atome lié à C1 avec le Z le plus élevé" → O) = Z ("atome lié à C2 avec le Z le plus élevé" → O également). On ne
peut pas déterminer quel groupement est prioritaire seulement avec cette étape.
→
Étape 2 : on a "Z total" (C1) (= 8 + 6
(on ne compte pas le Z du H) = 14) < "Z total" (C2) (= 8 + 7 + 6 = 21). Le groupement prioritaire étant celui avec le "Z total" le plus élevé, c'est ici
C2 qui l'emporte sur C1. Comme les atomes avec le Z maximum sont identiques dans chaque groupement, c'est l'addition des Z nous a permis de déterminer l'ordre de priorité.
On termine rapidement la configuration absolue :
On a donc C1 numéroté 3 et C2 numéroté 2. On tourne dans le sens anti-horaire. Le groupement 4 est en avant, on inverse la configuration. On a une
configuration absolue Rectus (R).
Léger résumé : on ne fait l'étape 2 que si l'étape 1 ne nous permet de déterminer l'ordre de priorité !
Tu comprends maintenant pourquoi, dans ton exemple, c'est le premier carbone qui l'emporte ?
C'est bon pour toi ?
Bon courage !