Le Guide pour bien débuter la LAS : Ici

Tutoriel Forum : Ici

Planning des Séances Tutorat et EB : ICI !
Errata : Séances Tutorat et EB, Annatuts, Ronéos
Centres de Téléchargement : ICI !
Réponses des Profs : ICI !
Annales : Achat, Corrections Officieuses
Annatuts : 2025-2026, Sommaire
MCC 25/26 : ICI
Candidature MMOPK : ICI
Terminale Santé : ICI

RÉSULTATS EB 5 : Ici

Newsletter : ICI


Annatut 2020-2021 QCM 2 p 3


Annatut 2020-2021 QCM 2 p 3

Messagepar Omicron » 25 Jan 2021, 18:04

Salut, :)
Je ne comprends pas la correction du QCM 2 de la partie « Atomes, molécules et structures » @@
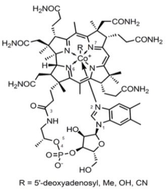
Voici la molécule de l’énoncé:
FB487141-9E0E-4200-98E0-21B6FF949241.jpeg
FB487141-9E0E-4200-98E0-21B6FF949241.jpeg (30.4 Kio) Vu 337 fois

Item B: au niveau de l’azote 7, on observe une succession de plusieurs systèmes conjugués π-σ-π et π-σ-n sur lequel un même électron peut se déplacer
Correction: au niveau de l’azote 7, on observe une succession de 3 systèmes conjugués de type π-σ-π sur lequel un même électron peut se déplacer
Pourquoi ne parlons nous pas du système conjugué π-σ-n mentionné dans l’item ?
Merci d’avance :D
(J’espère que ma question n’a pas été déjà posée, j’ai cherché mais je n’ai rien trouvé)
Tutrice de MICROBIOLOGIE 2022-2023
Avatar de l’utilisateur
Omicron
Tut' Microbio
Tut' Microbio
 
Messages: 872
Inscription: 08 Oct 2020, 08:02

Re: Annatut 2020-2021 QCM 2 p 3

Messagepar CyCloéXane » 27 Jan 2021, 21:24

Salut Manon !

Bon alors techniquement l'item devient faux parce qu'on a bien des systèmes conjugués pi-sigma-pi sur lequel un électron peut se déplacer, par contre on a aussi un système pi-sigma-n mais les électrons ne peuvent pas se déplacer dessus ! En effet l'azote fait une double liaison et ne peut donc pas délocaliser son doublet non-liant...

Mais ne te prends pas trop la tête avec cet item, il était un peu compliqué et le Pr. Azoulay n'a jamais posé ce genre de questions! Je t'invite à aller voir le DM d'annales posté sur le centre de téléchargement PACES pour voir un peu le genre de questions posées par le professeur, juste ici
:arrow: https://www.carabinsnicois.fr/phpbb/viewtopic.php?f=1842&t=146832

C'est bon pour toi ? :highfive:
<3 VP Solidarité internationale Humanice 2021-2022 <3

:atome: Tutrice & Ronéiste de Chimie 2020-2021 :atome:

:highfive:
Avatar de l’utilisateur
CyCloéXane
Tut' Chimie
Tut' Chimie
 
Messages: 654
Inscription: 24 Aoû 2019, 17:04
Localisation: Dans un tube à essais

Re: Annatut 2020-2021 QCM 2 p 3

Messagepar Omicron » 27 Jan 2021, 21:56

Salut,
Merci beaucoup, je vais y jeter un œil :)
Bonne soirée
Tutrice de MICROBIOLOGIE 2022-2023
Avatar de l’utilisateur
Omicron
Tut' Microbio
Tut' Microbio
 
Messages: 872
Inscription: 08 Oct 2020, 08:02


Retourner vers DM, Annatut' et Annales



Qui est en ligne

Utilisateurs parcourant ce forum: Aucun utilisateur enregistré et 0 invités