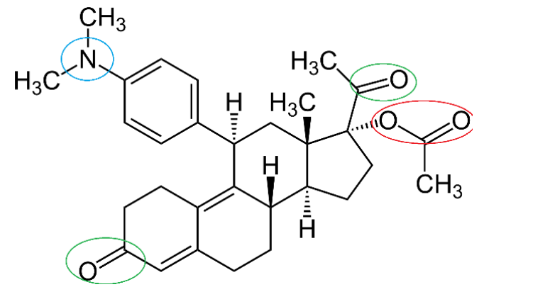
En revoyant la molécule, je me demandais, est-ce qu'on peut quand même dire que le cercle rouge est un acide carboxylique, malgré le fait qu'on est pas de H ? parce que normalement c'est C double liason O et liaison OH, non ?
Merci d'avance (et vraiment désolé pour toutes les questions


