Le Guide pour bien débuter la LAS : Ici

Tutoriel Forum : Ici

Planning des Séances Tutorat et EB : ICI !
Errata : Séances Tutorat et EB, Annatuts, Ronéos
Centres de Téléchargement : ICI !
Réponses des Profs : ICI !
Annales : Achat, Corrections Officieuses
Annatuts : 2025-2026, Sommaire
MCC 25/26 : ICI
Candidature MMOPK : ICI
Terminale Santé : ICI

CORRECTION ST 4 : Ici

Newsletter : ICI


TUT 2 QCM 18


TUT 2 QCM 18

Messagepar manonbjl » 02 Oct 2021, 13:38

Bonjour !

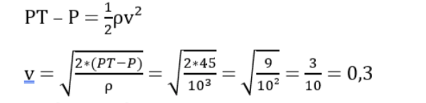
Je ne comprends pas la correction du QCM 18.... d'où vient le 45 ?
Car :
PT - P = 2 800 - 2 755 = 5 ?

Quelqu'un peut m'expliquer ? @@
merci pour votre aide ! :act-up:

Capture d’écran 2021-10-02 à 14.22.29.png
/!\ âme sensible s'abstenir
https://www.youtube.com/watch?v=H-Bm3PJbxLY
manonbjl
Carabin confirmé
 
Messages: 56
Inscription: 09 Aoû 2021, 17:18

Re: TUT 2 QCM 18

Messagepar Dydou » 04 Oct 2021, 10:29

Salut ! :D

Alors en tout bien tout honneur, 2800-2755 ça fait bien 45.
Fais gaffe à ne pas confondre les unités, là on est en pascal pas en minutes donc on change bien de centaine après 99.

C'est bon pour toi ? :D
TUTEUR BIOPHYSIO 2021/2022
Avatar de l’utilisateur
Dydou
Chef TuT'
Chef TuT'
 
Messages: 408
Inscription: 02 Sep 2019, 17:31
Localisation: En train de sacrifier une chèvre pour que vous passiez en P2


Retourner vers Tutorat



Qui est en ligne

Utilisateurs parcourant ce forum: Aucun utilisateur enregistré et 0 invités