Vers le contenu
par aminedecrayon » 09 Oct 2021, 16:00
par Xytilis » 09 Oct 2021, 19:50
par mari'bosome » 09 Oct 2021, 21:03
par Mikaz » 10 Oct 2021, 01:42
par Meyose » 10 Oct 2021, 21:53
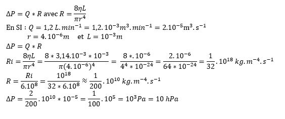
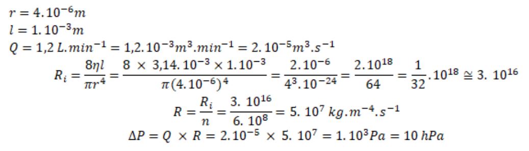
aminedecrayon a écrit:Salut, possible d'avoir le détail du calcul du QCM 22 svp ?
par Oskour » 11 Oct 2021, 10:00
par Dydou » 11 Oct 2021, 20:37
par Xytilis » 11 Oct 2021, 21:27
par Dydou » 14 Oct 2021, 08:43
Retourner vers Tutorat
Utilisateurs parcourant ce forum: Aucun utilisateur enregistré et 1 invité