

flowow a écrit:Bonjour j'étais en train de re faire le DM PRE EB sur la partie de la biophysique de circulation. Mais dans la question 21 je comprends pas comment passer le débit qui est de 2,4 L/min en m3-s-1. J'ai essayé de regarder la séance de méthodologie mais je ne comprends toujours pas. c'est possible d'expliquer avec les détails svp?



Dydou a écrit:Salut !![]()
Désolé pur le temps de réponse, comme l'a dit osckour, on est un peu submergés en ce moment.
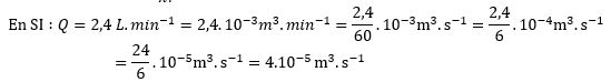
Comme tu le vois, pour passer de L/min à m^3/s tu dois multiplier par 10^-3 puis diviser par 60 !
Est ce que c'est bon pour toi ?

Dydou a écrit:Alors je te mets la correction avec chaque étape (pour moi c'est la méthode la plus simple) :
En fait, le technique c'est vraiment de jouer avec les puissances pour retomber sur des calculs que tu peux faire sans te casser la tête, tu vois qu'ici ce que j'ai fait c'est que j'ai transformé le 2,4 en 24.10^-1 pour simplifier la division par 6 puis j'ai rajouté la puissance de 10 aux autres.
Est ce que c'est plus clair ?

Utilisateurs parcourant ce forum: Aucun utilisateur enregistré et 2 invités