Coucou !
Alors soluble c'est la capacité à se dissoudre dans l'eau pour former un mélange homogène. Jusque là c'est bon ?
Et non hydrolysable ça veut dire qu'on ne peut pas le couper en deux.Tu reconnais le mot "lyse" dans hydrolysable qui veut dire couper.
Tu as ta structure glucidique elle va rester telle quelle puisque c'est un glucide simple.
Les glucides complexes sont formés de 2 glucides par exemple et eux on va pouvoir les couper en 2 pour avoir 2 glucides simples au final.
Voilà un glucide simple. Non hydrolysable

- glucide simple.png (13.66 Kio) Vu 358 fois
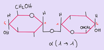
Voilà un glucide complexe composé de 2 glucides simples. Là tu peux l'hydrolyser.

- glucide complexe.png (11.78 Kio) Vu 358 fois
Est-ce que c'est mieux maintenant ?
Bonne journée
