Le Guide pour bien débuter la LAS : Ici

Tutoriel Forum : Ici

Planning des Séances Tutorat et EB : ICI !
Errata : Séances Tutorat et EB, Annatuts, Ronéos
Centres de Téléchargement : ICI !
Réponses des Profs : ICI !
Annales : Achat, Corrections Officieuses
Annatuts : 2025-2026, Sommaire
MCC 25/26 : ICI
Candidature MMOPK : ICI
Terminale Santé : ICI

RÉSULTATS EB 5 : Ici

Newsletter : ICI


Formyl et Oxo


Formyl et Oxo

Messagepar Ja_Ottavj » 01 Mar 2022, 12:11

Bonjour !
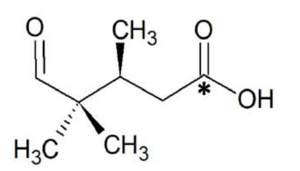
Pour vous poser ma question, je prends l'exemple de cette molécule :
Je suis bien plus goatesque que Idrisomère, qui est même floppesque.png


On dit que son nom est : acide 3,4,4-triméthyl-5-oxo-pentanoïque
Mais pour moi en position 5 on a un aldéhyde donc ça devrait être : acide 5-formyl-3,4,4-triméthyl-pentanoïque

Est-ce qu'on peut dire qu'un substituant est un aldéhyde seulement dans ce genre de cas, où il est clairement distinct de la chaîne principale ? :
Capture d’écran 2022-03-01 à 12.12.01.png


Merci beaucoup !
Oskour a dit : "Moi, Oskour aspirant suprême de la Sainte Biophysio souhaite, par mes pouvoirs limités, le perfect à ja_ottavj" et la prophétie se réalisera

OUH IH OUH AH AH y’a dla peuf dans le bat a bintou OUH IH OUH AH AH on a veski la bac OUH IH OUH AH AH y’a dla peuf dans le bat à bintou OUH IH OUH AH A on a veski la bac
Avatar de l’utilisateur
Ja_Ottavj
Carabin Geek
 
Messages: 674
Inscription: 16 Aoû 2021, 08:30
Localisation: Loin de la pharmafraude

Re: Formyl et Oxo

Messagepar Colinfarctus » 01 Mar 2022, 13:44

Hello,
tu as tout à fait raison c'est bien un aldéhyde, que ça soit dans la chapine principal ou non.

Par ailleurs :
Exemplee.png

Comme tu peux le voir dans le tableau (du prof ;) ) pour les aldéhyde on utilise également -oxo !
Me demande pas pourquoi, je ne sais pas, mais retiens que ça s'utilise pour les deux.

Par contre formyl c'est exclusif à l'aldéhyde !


:atome: Tuteur de Chimie 2021/2022 :atome:

BDE Kiné 2022/2023

Asso mystère avec un serpent 2022/2023
Colinfarctus
Tut' Chimie
Tut' Chimie
 
Messages: 742
Inscription: 07 Juil 1977, 07:07
Localisation: En train de fêter mon anniversaire sur discord :o

Re: Formyl et Oxo

Messagepar Ja_Ottavj » 01 Mar 2022, 14:03

Okay parfait merci beaucoup
Oskour a dit : "Moi, Oskour aspirant suprême de la Sainte Biophysio souhaite, par mes pouvoirs limités, le perfect à ja_ottavj" et la prophétie se réalisera

OUH IH OUH AH AH y’a dla peuf dans le bat a bintou OUH IH OUH AH AH on a veski la bac OUH IH OUH AH AH y’a dla peuf dans le bat à bintou OUH IH OUH AH A on a veski la bac
Avatar de l’utilisateur
Ja_Ottavj
Carabin Geek
 
Messages: 674
Inscription: 16 Aoû 2021, 08:30
Localisation: Loin de la pharmafraude


Retourner vers Liaisons chimiques, Méthode VSEPR, Nomenclature



Qui est en ligne

Utilisateurs parcourant ce forum: Aucun utilisateur enregistré et 1 invité

cron