Le Guide pour bien débuter la LAS : Ici

Tutoriel Forum : Ici

Planning des Séances Tutorat et EB : ICI !
Errata : Séances Tutorat et EB, Annatuts, Ronéos
Centres de Téléchargement : ICI !
Réponses des Profs : ICI !
Annales : Achat, Corrections Officieuses
Annatuts : 2025-2026, Sommaire
MCC 25/26 : ICI
Candidature MMOPK : ICI
Terminale Santé : ICI

RÉSULTATS EB 5 : Ici

Newsletter : ICI


Mardi chimie 2 - QCM 7 - Item C - Nomenclature


Mardi chimie 2 - QCM 7 - Item C - Nomenclature

Messagepar ScapOulah » 16 Fév 2022, 19:19

Recoucou !

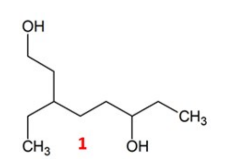
Molécule 1 - Mardi chimie 2 - Nomenclature.png


J'ai du mal à comprendre comment on a fait pour nommer cette molécule 3-ethyloctane-1,6-diol...

:arrow: Pourquoi la chaine principale n'est pas celle qui contient les groupements hydroxyles ?

Ce que j'ai compris :

-> les 2 alcools sont la fonction principale donc on finit le nom de la molécule par -diol
-> la chaine la plus longue fait 8 carbones dont on utilise "-octane"

Pour le reste c'est un peu flou :confused:

Merci d'avance <3
Bonne soirée !
Tutrice d'Anatomie Générale 2022 - 2023
Avatar de l’utilisateur
ScapOulah
Tut' Anat G
Tut' Anat G
 
Messages: 502
Inscription: 27 Aoû 2021, 18:21
Localisation: Là.

Re: Mardi chimie 2 - QCM 7 - Item C - Nomenclature

Messagepar Colinfarctus » 17 Fév 2022, 09:18

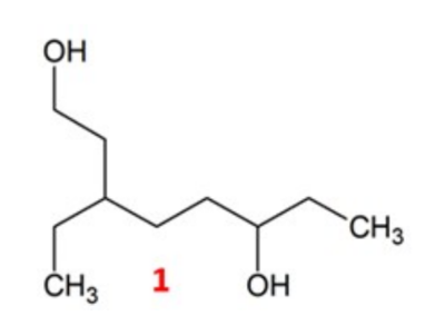
Hello,

la chaîne principal est bien celle qui contient les hydroxyles :
Molé.PNG


Je t'ai surligné en rouge la chaîne principal et les numéros 1 - 3 - 6 pour les fonctions et les ramifications ;)

Si tu as d'autres questions hésite pas !


:atome: Tuteur de Chimie 2021/2022 :atome:

BDE Kiné 2022/2023

Asso mystère avec un serpent 2022/2023
Colinfarctus
Tut' Chimie
Tut' Chimie
 
Messages: 742
Inscription: 07 Juil 1977, 07:07
Localisation: En train de fêter mon anniversaire sur discord :o

Re: Mardi chimie 2 - QCM 7 - Item C - Nomenclature

Messagepar ScapOulah » 17 Fév 2022, 15:00

Merci, c'est super clair maintenant !!
Tutrice d'Anatomie Générale 2022 - 2023
Avatar de l’utilisateur
ScapOulah
Tut' Anat G
Tut' Anat G
 
Messages: 502
Inscription: 27 Aoû 2021, 18:21
Localisation: Là.


Retourner vers DM et Annatuts



Qui est en ligne

Utilisateurs parcourant ce forum: Aucun utilisateur enregistré et 0 invités