Le Guide pour bien débuter la LAS : Ici

Tutoriel Forum : Ici

Planning des Séances Tutorat et EB : ICI !
Errata : Séances Tutorat et EB, Annatuts, Ronéos
Centres de Téléchargement : ICI !
Réponses des Profs : ICI !
Annales : Achat, Corrections Officieuses
Annatuts : 2025-2026, Sommaire
MCC 25/26 : ICI
Candidature MMOPK : ICI
Terminale Santé : ICI

RÉSULTATS EB 5 : Ici

Newsletter : ICI


2020-2021 Rattrapages PASS Q8


2020-2021 Rattrapages PASS Q8

Messagepar Biomol'ka » 24 Mar 2022, 15:23

Coucouu !

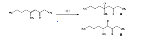
Voici l'énoncé : QCM 8. On s’intéresse à la réaction ci-dessous. Indiquez la ou les proposition(s) exacte(s) :
A. Le composé A est le composé majoritaire.
B. Le composé B est le composé majoritaire.
C. La réaction est sous contrôle cinétique.
D. La régiosélectivité de cette réaction est contrôlée par la règle de Zaitsev.
E. Les propositions A, B, C et D sont fausses
AC

Je dois avouer que je n'ai pas du tout saisi ce qu'est cette réaction @@

Mercii d'avance pour ton aide
Fichiers joints
Capture.PNG
Capture.PNG (10.36 Kio) Vu 555 fois
:adn: Tutrice de génétique et biologie moléculaire 2022-2023 :adn:
Avatar de l’utilisateur
Biomol'ka
Tut' Biomol / Génétique
Tut' Biomol / Génétique
 
Messages: 1426
Inscription: 18 Sep 2021, 15:30

Re: 2020-2021 Rattrapages PASS Q8

Messagepar alombre » 25 Mar 2022, 23:10

coucouuuu :P

alors on va essayer de reprendre point par point !

Au vu des produits, tu peux en déduire que c'est l'alcène qui réagit : c'est une addition d'halogène
Donc la C est juste (c'est malheureusement du cours pur et dur à apprendre @@) mais pour la petite explication, je te met une partie de ma fiche :
D’après le postulat de Hammond, plus le carbocation est stable, plus la vitesse de sa formation sera élevée. Car plus il est stable, plus son niveau d’énergie sera bas. Donc l’intermédiaire réactionnel (donc la structure est la plus proche du carbocation) aura aussi un niveau d’énergie bas et sera ainsi plus facile à atteindre (puisque l’Ea sera faible).

(pour rappel, on passe par un intermédiaire carbocation comme la réaction se fait en 2 étapes)

Pour savoir quel produit est majoritairement formé, on sait qu'on cherche à avoir le composé le plus stable possible ! Et la règle de Markovnikov stipule qu'on formera d'abord le carbocation le plus stable
La molécule A étant plus stable, ce sera le composé majoritaire

c'est plus clair ? <3
:chaton:
:glasses-nerdy: Chef Tut' Orientation et Réorientation 2022-2023 :glasses-nerdy:

:atome: Tuteur de Chimie (ECUE11) 2021-2022 :atome:
:evoli: Ronéiste de Chimie 2021-2022 :evoli:

:chaton2:
Avatar de l’utilisateur
alombre
Chef TuT'
Chef TuT'
 
Messages: 896
Inscription: 05 Aoû 2019, 11:16
Localisation: dans le tissus adipeux (parce que la raclette quoi)

Re: 2020-2021 Rattrapages PASS Q8

Messagepar alombre » 05 Avr 2022, 08:13

n'hésite pas à passer en résolu ou demander plus d'informations :P
:chaton:
:glasses-nerdy: Chef Tut' Orientation et Réorientation 2022-2023 :glasses-nerdy:

:atome: Tuteur de Chimie (ECUE11) 2021-2022 :atome:
:evoli: Ronéiste de Chimie 2021-2022 :evoli:

:chaton2:
Avatar de l’utilisateur
alombre
Chef TuT'
Chef TuT'
 
Messages: 896
Inscription: 05 Aoû 2019, 11:16
Localisation: dans le tissus adipeux (parce que la raclette quoi)

Re: 2020-2021 Rattrapages PASS Q8

Messagepar Biomol'ka » 05 Avr 2022, 09:17

Coucouuu !! Je suis vraiment désolée !! j'avais complètement oublié ce post ! Je m'en excuse ! Ton explication est au top !! merci beaucoup :coeur: Je passe tout de suite en résolu !! Passe une excellente journée et désolée encore !!
:adn: Tutrice de génétique et biologie moléculaire 2022-2023 :adn:
Avatar de l’utilisateur
Biomol'ka
Tut' Biomol / Génétique
Tut' Biomol / Génétique
 
Messages: 1426
Inscription: 18 Sep 2021, 15:30

Re: 2020-2021 Rattrapages PASS Q8

Messagepar alombre » 05 Avr 2022, 10:10

tqqqqt c'est pas grave, y'a pas de soucis ! :D
bonne journée à toi aussi :P
:chaton:
:glasses-nerdy: Chef Tut' Orientation et Réorientation 2022-2023 :glasses-nerdy:

:atome: Tuteur de Chimie (ECUE11) 2021-2022 :atome:
:evoli: Ronéiste de Chimie 2021-2022 :evoli:

:chaton2:
Avatar de l’utilisateur
alombre
Chef TuT'
Chef TuT'
 
Messages: 896
Inscription: 05 Aoû 2019, 11:16
Localisation: dans le tissus adipeux (parce que la raclette quoi)


Retourner vers Annales



Qui est en ligne

Utilisateurs parcourant ce forum: Aucun utilisateur enregistré et 0 invités

cron