Salut !
Alors avant tout petit rappel :
π (pi) --> double liaison
σ (sigma) --> liaison simple
n --> doublet non liant (représenté par une barre ou deux points sur une représentation topologique)
v --> case vacante (représente par un carré vide sur une représentation topologique)
Ensuite, il faut que tu retienne qu'il existe 3 possibilité pour qu'il y ait une délocalisation :
1/ π – σ – π --> Double liaison // liaison simple // double liaison
2/ π – σ – n --> Double liaison // liaison simple // doublet non liant
3/ π – σ – v --> Double liaison // liaison simple // case vacante
Enfin, on va rentrer dans le concret avec des exemples :
Premiere exemple :

- DNL.PNG (2.23 Kio) Vu 341 fois
Ici, on voit une double liaison // liaison simple // double liaison --> π – σ – π, on a une délocalisation possible !

- Déloca.PNG (4.38 Kio) Vu 341 fois
Si on suit le mouvement des flèches, notre double liaison de gauche va se délocaliser au milieu, notre délocalisation de droite va se délocaliser sur le carbone de droite et former un doublet non liant chargé négativement (forcément puisqu'on rajoute des électrons (-) à un atome de carbone stable). Le carbone de gauche se retrouve avec un déficit d'électrons et est donc chargé (+).
Deuxieme exemple :

- okok.PNG (8.51 Kio) Vu 341 fois
Ici on voit une double liaison // liaisons simple // doublet non liant -->π – σ – n, on a une délocalisation possible !
Comme précédemment, la double liaison de gauche va sur son carbone de gauche et deviens chargé négativement due à l'excès d'électrons, le doublet non liant se délocalise au milieu et forme une double liaison et l'atome d'Azote se retrouve déficient en électrons donc (+).
Troisieme exemple :

- 3eme.PNG (11.73 Kio) Vu 341 fois
Ici on voit double liaison // liaisons simple // case vacante --> π – σ – v, on a une délocalisation possible !
Toujours pareil... la double liaison se délocalise sur la droite, cela remplie la case vacante.
Du coup on a un déficit d'électrons qui apparait sur le carbone de gauche qui perd une liaison avec un carbone.
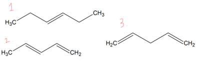
Quatrieme exemple : Hého hého,
c'est ton tour maintenant, répond en dessous dans le prochain commentaire !
Bon c'est très facile, tu va me dire sur les 3 molécules la ou lesquelles peuvent faire une délocalisation ?
C'est donc quel représentation ? π – σ – π ou π – σ – n ou π – σ – v ?
J'espère avoir répondu à ta question !
Hésite pas si il y a le moindre problème !
Bon courage pour la suite !
