Le Guide pour bien débuter la LAS : Ici

Tutoriel Forum : Ici

Planning des Séances Tutorat et EB : ICI !
Errata : Séances Tutorat et EB, Annatuts, Ronéos
Centres de Téléchargement : ICI !
Réponses des Profs : ICI !
Annales : Achat, Corrections Officieuses
Annatuts : 2025-2026, Sommaire
MCC 25/26 : ICI
Candidature MMOPK : ICI
Terminale Santé : ICI

CORRECTION ST 4 : Ici

Newsletter : ICI


(OK) Configuration chaise et espace


(OK) Configuration chaise et espace

Messagepar Sherry » 22 Sep 2012, 18:00

Bonsoir :D

J'ai un petit problème avec les configurations chaises et les liaisons dans le plan,en arrière et en avant... Par exemple pour cette molécule :
1 orga.PNG
1 orga.PNG (2.77 Kio) Vu 1308 fois

la correction dit que d est en avant. Mais pour moi tout est dans le plan...

Pareil pour cette molécule là,d est soit disant en avant :
orga 2.PNG
orga 2.PNG (2.35 Kio) Vu 1308 fois
Dernière édition par Sherry le 25 Sep 2012, 16:30, édité 1 fois.
Je suis pour l'égalité des sexes, je prendrai moi-même les mesures.
Avatar de l’utilisateur
Sherry
Carabin vétéran
 
Messages: 271
Inscription: 22 Jan 2012, 18:52

Re: Configuration chaise et espace

Messagepar Noé » 22 Sep 2012, 18:09

(Désolée je ne vais pas répondre mais plutôt en rajouter ^^) J'ai le même soucis avec la représentation chaise, impossible de comprendre ce qu'a voulu dire le prof... Serait-il possible d'avoir en même temps une explication claire de ce type de représentation ? Merci (:
« Le génie est fait d'1% d'inspiration et de 99% de transpiration. » T.Edison
Avatar de l’utilisateur
Noé
Carabin vétéran
 
Messages: 311
Inscription: 12 Juil 2012, 13:42

Re: Configuration chaise et espace

Messagepar Zhost » 22 Sep 2012, 22:59

Salut (-:

Alors : pour ta molécule 1, je vous redirige sur ce lien : viewtopic.php?f=332&t=23246
--> La question, posée 4 fois depuis le début de l'année, j'éditerai la FaQ en plus. (EDIT : je l'ai mise en Q3)

Pour la molécule 2, d est dans le plan :mrgreen: ....
C'est explicite pourtant sur cette molécule, il y a le triangle noir plein (groupement c)

--> Pour les configurations chaises, tu as une direction axiale et une équatoriale.

chaise.png

=> pointe en haut + trait vertical = AVANT
=> pointe en bas + trait vertical = ARRIERE
=> pointe en haut + trait horizontal/oblique = ARRIERE
=> pointe en bas + trait horizontal/oblique = AVANT

It's good ? Ou Iznogood ?
Si c'est pas complet, n'hésitez pas à reposer vos questions... il est un peu tard, ça se peut que je ne sois pas très claire.

@Noé : si tu as mal compris la configuration chaise, elle-même, je te conseille de faire un nouveau post ;)
Pensez bien à éditer votre question avec l'en-tête [Résolu] lorsque la réponse vous convient !

Image

In orga we drug
Avatar de l’utilisateur
Zhost
Carabin addicted
 
Messages: 1173
Inscription: 07 Sep 2010, 09:02

Re: Configuration chaise et espace

Messagepar Sherry » 23 Sep 2012, 07:48

Ah désolée pour le quadruple post.
Pour la molécule 1 j'ai compris,mais pour la 2 j'ai encore une question : quand tu dis "pointe " c'est pour les positions axiales uniquement ? Les positions équatoriales sont toujours dans le plan non ? Donc comme le d de la molécule 2 est en équatoriale,d est dans le plan c'est ça ?
Mercii :D
Je suis pour l'égalité des sexes, je prendrai moi-même les mesures.
Avatar de l’utilisateur
Sherry
Carabin vétéran
 
Messages: 271
Inscription: 22 Jan 2012, 18:52

Re: Configuration chaise et espace

Messagepar Zhost » 23 Sep 2012, 09:47

Regarde, ta position chaise est l'assemblage des atomes de carbones issus de ton cyclohexane.
Tous ces carbones sont dans le plan (abus de langage, mais utile pour la compréhension).
Et tous les substituants seront soit en avant soit en arrière.

Les directions équatoriales, sont équatoriales par rapport au plan de la chaise.
Les directions axiales, sont perpendiculaires par rapport au plan de la chaise.

Si la direction axiale pointe vers le haut, c'est à dire se dirige vers le haut, alors le groupement sera en avant.
Si la direction axiale est dirigée vers le bas du plan de la chaise, alors le groupement sera en arrière.
==> En découle la position des groupements en position équatoriale (soit en avant, soit en arrière).

Pour le groupement d de ta molécule 2, il me faudrait la molécule entière pour pouvoir déterminer s'il est en avant ou dans le plan. Car hier nuit j'ai pas fais attention... mais il y a des chances que le groupement d soit bel et bien en avant.
--> Position axiale pointe vers le bas : b en arrière
--> En découle la position équatoriale : d en avant.
Et le groupement c est considéré aussi en avant. Seul le groupement a est dans le plan.

C'est un ch'tit peu mieux (-: ?
Pensez bien à éditer votre question avec l'en-tête [Résolu] lorsque la réponse vous convient !

Image

In orga we drug
Avatar de l’utilisateur
Zhost
Carabin addicted
 
Messages: 1173
Inscription: 07 Sep 2010, 09:02

Re: Configuration chaise et espace

Messagepar Noé » 23 Sep 2012, 10:23

Désolée mais je n'ai toujours pas compris :/ En gros sur les autres post j'ai réussit à tirer que la confo chaise rend plus stable car elle éloigne les atomes les uns des autres... Mais comment la repérer ou l'appliquer ? Merci (:
« Le génie est fait d'1% d'inspiration et de 99% de transpiration. » T.Edison
Avatar de l’utilisateur
Noé
Carabin vétéran
 
Messages: 311
Inscription: 12 Juil 2012, 13:42

Re: Configuration chaise et espace

Messagepar Sherry » 23 Sep 2012, 13:01

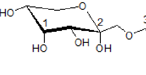
Voici la fameuse molécule 2 :D :

Molécule 1.PNG
Molécule 1.PNG (5.95 Kio) Vu 1257 fois


=> Si j'ai bien compris ce que tu m'as dit : Le OH en position axiale pointe vers le bas,alors il est en arrière. Donc le groupement d qui est en équatoriale est en avant.
Mais un autre truc me dérange (oui encore,désolée :roll: ) : que devient le groupement c qui est en avant du Carbone 2 ? :mrgreen:
Je suis pour l'égalité des sexes, je prendrai moi-même les mesures.
Avatar de l’utilisateur
Sherry
Carabin vétéran
 
Messages: 271
Inscription: 22 Jan 2012, 18:52

Re: Configuration chaise et espace

Messagepar ÅLEX » 23 Sep 2012, 13:17

Zhost a écrit:
chaise.png

=> pointe en haut + trait vertical = AVANT
=> pointe en bas + trait vertical = ARRIERE
=> pointe en haut + trait horizontal/oblique = ARRIERE
=> pointe en bas + trait horizontal/oblique = AVANT





Salut tu es sur de ça ?????
Moi perso je prends une vue de dessus et tous ce qui vient vers moi c'est en devant et le reste en arrière...




Pour le carbone 2 :
tu as le OH qui va être en arrière et le C qui va être devant du coup
Dernière édition par ÅLEX le 23 Sep 2012, 20:14, édité 1 fois.
Image
Avatar de l’utilisateur
ÅLEX
Carabin Geek
 
Messages: 608
Inscription: 04 Déc 2011, 09:43

Re: Configuration chaise et espace

Messagepar WatiGG » 23 Sep 2012, 19:19

Plop, oui mika a fait une mini-confusion…
je ne sais pas exactement où il a voulu en venir, donc je vous propose ma méthode perso…

Tout d'abord, visualiser la "chaise" (cette vidéo aide pas mal).

Ensuite, pour faire les carbones asymétriques, il faut transposer ce qu'on voit en "chaise" en un carbone asymétrique de type CRAM (plus facile à étudier car on peut alors faire la technique des permutations par exemple!).
Comment faire ?

Il faut regarder le cycle par au-dessus (ou par en-dessous, mais je préfère au-dessus) :

• Tous les atomes faisant partie du cycle lui même ( = tout ce qui n'est ni axial ni équatorial) seront dans le plan.
• Tout ce qui se rapproche de ton œil (même un tout petit peu) sera vu comme "en avant".
• Tout ce qui s'éloigne de ton œil (même un tout petit peu) sera vu comme "en arrière".
• Il y a forcément un groupement en avant et un groupement en arrière ! On peut donc déduire la disposition des hydrogènes implicites.

Exemple :

Pour le carbone 1, plaçons notre œil au-dessus du cycle.

Le groupement OH s'éloigne de notre œil. Il est en arrière sur la représentation de CRAM.
Par élimination, l'hydrogène implicite est en avant sur représentation de CRAM.
Les deux autres sont dans le plan !

Pour le carbone 2, idem, plaçons notre œil au-dessus du cycle.

Le groupement OH s'éloigne de notre œil : il est en arrière !
Le groupement C—O—(jevoispaslasuite) s'approche de notre œil : il est en avant !
Les deux autres dans le plan.


Est-ce que ça marche mieux ?
Tuteur de chimie orga 2012-2013 retraité
VP G33K et VP Communication
BDE Médecine Nice 2013-2014

π-Carabins

Cliquez pour vous détendre.
Avatar de l’utilisateur
WatiGG
Administrateur
Administrateur
 
Messages: 1356
Inscription: 13 Sep 2010, 18:33

Re: Configuration chaise et espace

Messagepar ÅLEX » 23 Sep 2012, 19:33

Je suis d'accord avec toi guillaume je fait pareil mais la pour le carbone 2 il y a déjà un groupement qui est en avant y'a déjà un trais plein qui est sur le cycle !
Image
Avatar de l’utilisateur
ÅLEX
Carabin Geek
 
Messages: 608
Inscription: 04 Déc 2011, 09:43

Re: Configuration chaise et espace

Messagepar WatiGG » 23 Sep 2012, 20:01

Ce trait plein ne te sert qu'à différencier les deux branches de la conformation chaise.
Il est alors possible (mais difficile en P1 car on n'a pas l'habitude de manipuler la structure tétraédrique du carbone, ie de visualiser le C* dans l'espace) de connaître la configuration absolue du carbone.

Lorsque tu passes en représentation de CRAM en regardant par au-dessus (recommandé si tu ne puis le résoudre de tête), tu ne tiens plus compte du trait gras sur la chaise ! Attention !
Tuteur de chimie orga 2012-2013 retraité
VP G33K et VP Communication
BDE Médecine Nice 2013-2014

π-Carabins

Cliquez pour vous détendre.
Avatar de l’utilisateur
WatiGG
Administrateur
Administrateur
 
Messages: 1356
Inscription: 13 Sep 2010, 18:33

Re: Configuration chaise et espace

Messagepar ÅLEX » 23 Sep 2012, 20:14

ah donc le trait épais veut rien dire... Par ce que mika a dit le contraire plus haut...
Bref au final on regarde une vue de dessus et si ca vient vers nous c'est devant
Image
Avatar de l’utilisateur
ÅLEX
Carabin Geek
 
Messages: 608
Inscription: 04 Déc 2011, 09:43

Re: Configuration chaise et espace

Messagepar Zhost » 23 Sep 2012, 20:24

Mika s'excuse sincèrement.
J'avoue que j'ai fais un peu trop d'erreur en si peu de post :cry: :cry: (après tout, c'est humain) Désolé !!!
Ecoutez ce qu'à dit Guillaume, c'est plus simple ^_^
Pensez bien à éditer votre question avec l'en-tête [Résolu] lorsque la réponse vous convient !

Image

In orga we drug
Avatar de l’utilisateur
Zhost
Carabin addicted
 
Messages: 1173
Inscription: 07 Sep 2010, 09:02

Re: Configuration chaise et espace

Messagepar ÅLEX » 23 Sep 2012, 20:32

Il y a aucun souccis :)
Image
Avatar de l’utilisateur
ÅLEX
Carabin Geek
 
Messages: 608
Inscription: 04 Déc 2011, 09:43

Re: Configuration chaise et espace

Messagepar Sherry » 25 Sep 2012, 16:29

C'est parfait,merci à vous 3 d'avoir pris le temps de tout bien détailler :D. Maintenant je n'ai plus aucune excuse si je me trompe :wink:.
Bonne soirée !
Je suis pour l'égalité des sexes, je prendrai moi-même les mesures.
Avatar de l’utilisateur
Sherry
Carabin vétéran
 
Messages: 271
Inscription: 22 Jan 2012, 18:52


Retourner vers Chimie Organique



Qui est en ligne

Utilisateurs parcourant ce forum: Aucun utilisateur enregistré et 1 invité