Salut !
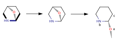
Pour le premier tu as raison .................. le cyclohexane a moitié en gras t'enquiquine xD (et oui, car mon guillaume a raison

) !
Regarde bien le carbone 1 ; il est en avant du carbone situé à droite.
Donc, quand tu le prends pour référentiel, le carbone de droite est en arrière du carbone 1.
Ce gros trait noir signifie tout simplement que cette liaison est en avant de tout l'édifice moléculaire.
T'en déduis quoi cette enseignement ?
1) L'amine et le carbone de gauche sont dans le même plan.
2) Le carbone de droite est en arrière.
3) L'hydrogène est en avant de tout ça (implicite).
Donc tu trouves S, par les méthodes que tu as faites, puis tu inverses la configuration car l'hydrogène est en avant --> R !
It's ok my dear

?