Le Guide pour bien débuter la LAS : Ici

Tutoriel Forum : Ici

Planning des Séances Tutorat et EB : ICI !
Errata : Séances Tutorat et EB, Annatuts, Ronéos
Centres de Téléchargement : ICI !
Réponses des Profs : ICI !
Annales : Achat, Corrections Officieuses
Annatuts : 2025-2026, Sommaire
MCC 25/26 : ICI
Candidature MMOPK : ICI
Terminale Santé : ICI

CORRECTION ST 4 : Ici

Newsletter : ICI


[Résolu] Exo du prof


[Résolu] Exo du prof

Messagepar papamaster » 13 Oct 2012, 11:07

Salut,

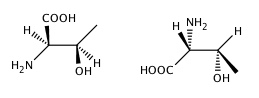
Voici un exercice qui etait dans le livre du prof. Il dit que les deux molecules que j'ai mis dans le lien sont des stereoisomeres de conformation mais il me semble que ce sont les meme molecules vues sous un angle different. Je t'ai mis la demo dans le fichier pdf pour le justifier. Aussi je sais que le prof parle d'un dynamisme et que les chaines sont toujours en rotation autour de la liaison sigma. Meme si c'est le cas, la molecule revient bien a son conformere de depart et c'est donc la meme molecule. D'un point de vue strictement biologique, ca n'aurait aucun sens de considerer ces deux molecules comme des stereoismeres de conformation car elles ont exactement la meme forme, streochimie, energie, etc... et le meme recepteur s'il y'en a un.

Merci de checker avec le prof et voir ce qu'il en pense.
Fichiers joints
Newman.pdf
(27.96 Kio) Téléchargé 238 fois
stereoisomeres de conformation.docx
(23.59 Kio) Téléchargé 265 fois
Opehé
[align=center]Image
Avatar de l’utilisateur
papamaster
Carabin vétéran
 
Messages: 295
Inscription: 10 Oct 2012, 11:28

Re: Exo du prof

Messagepar WatiGG » 13 Oct 2012, 13:34

Hey !

Je crois avoir trouvé la réponse à ceci…
Il ne faut pas rester en Newman mais passer en CRAM :
• Molécule de gauche : j'ai poussé le carbone en avant vers la droite
• Molécule de droite : j'ai poussé le carbone en avant vers la gauche

On arrive à ceci :

Image 1.png
Image 1.png (8.04 Kio) Vu 446 fois


On voit bien qu'il faut effectuer au moins une rotation de la liaison simple pour retomber sur l'autre molécule.
Il doit y avoir un souci avec ta technique… peut être qu'on ne peut pas effectuer deux rotations en sens inverse l'une de l'autre en utilisant Newman.


Est-ce que ça répond à ta question ? (au pire, ne te casse pas la tête la-dessus pendant des années, et révise des choses plus importantes ^^ !)
Tuteur de chimie orga 2012-2013 retraité
VP G33K et VP Communication
BDE Médecine Nice 2013-2014

π-Carabins

Cliquez pour vous détendre.
Avatar de l’utilisateur
WatiGG
Administrateur
Administrateur
 
Messages: 1356
Inscription: 13 Sep 2010, 18:33

Re: Exo du prof

Messagepar papamaster » 13 Oct 2012, 14:17

Desole mais la question ne se pose meme pas. C la meme molecule. Tout ce que je demande c'est si le prof considere ces deux molecules (qui sont totalement similaires: pas de rotation) come etatnt des stereoisomeres de conformation. J'ai deja eu la confirmation d'un prof de chimie organique confirme qui m'a dit que c'etait faux. Mais ca m'interesse de savoir ce que le prof pense de ca. merci
Opehé
[align=center]Image
Avatar de l’utilisateur
papamaster
Carabin vétéran
 
Messages: 295
Inscription: 10 Oct 2012, 11:28

Re: Exo du prof

Messagepar Zhost » 13 Oct 2012, 20:17

Salut papa (-;

Alors oui... j'suis d'accord que ces 2 molécules sont strictement identique (tant sur le plan stéréochimique que énergétique)... après le récepteur je n'en ai aucune idée, mais je ne dirais pas le contraire ;).


Est-ce que tu peux nous faciliter la tâche et nous donner la référence de l'exercice stp ? Ce sera plus simple pour lui poser la question.

Et aussi... est-ce que O. Thomas a fait le cours sur la stéréo-isomérie vendredi dernier ou pas encore ? Parce que sinon, je doute qu'il veuille répondre à la question avant même d'avoir fait le cours ;).

Voili (-: ! Merci (-: !
Pensez bien à éditer votre question avec l'en-tête [Résolu] lorsque la réponse vous convient !

Image

In orga we drug
Avatar de l’utilisateur
Zhost
Carabin addicted
 
Messages: 1173
Inscription: 07 Sep 2010, 09:02

Re: Exo du prof

Messagepar papamaster » 13 Oct 2012, 21:47

Salut Zhost,

C'est l'exo 22 de isomerie et stereoisomerie page 57.

Merci de ton aide
Opehé
[align=center]Image
Avatar de l’utilisateur
papamaster
Carabin vétéran
 
Messages: 295
Inscription: 10 Oct 2012, 11:28

Re: Exo du prof

Messagepar papamaster » 13 Oct 2012, 21:47

Je sais pas si le prof a deja traite ce sujet en cours. j'y suis pas alle.
Opehé
[align=center]Image
Avatar de l’utilisateur
papamaster
Carabin vétéran
 
Messages: 295
Inscription: 10 Oct 2012, 11:28

Re: Exo du prof

Messagepar WatiGG » 14 Oct 2012, 00:12

papamaster a écrit:Desole mais la question ne se pose meme pas.


Ah.
Tuteur de chimie orga 2012-2013 retraité
VP G33K et VP Communication
BDE Médecine Nice 2013-2014

π-Carabins

Cliquez pour vous détendre.
Avatar de l’utilisateur
WatiGG
Administrateur
Administrateur
 
Messages: 1356
Inscription: 13 Sep 2010, 18:33

Re: Exo du prof

Messagepar papamaster » 14 Oct 2012, 08:46

WatiGG a écrit:Je crois avoir trouvé la réponse à ceci…

ah
Opehé
[align=center]Image
Avatar de l’utilisateur
papamaster
Carabin vétéran
 
Messages: 295
Inscription: 10 Oct 2012, 11:28

Re: Exo du prof

Messagepar Zhost » 14 Oct 2012, 09:18

Pourquoi tant de haine :shock: ?
Pensez bien à éditer votre question avec l'en-tête [Résolu] lorsque la réponse vous convient !

Image

In orga we drug
Avatar de l’utilisateur
Zhost
Carabin addicted
 
Messages: 1173
Inscription: 07 Sep 2010, 09:02

Re: Exo du prof

Messagepar papamaster » 14 Oct 2012, 11:14

Je m'excuse mais c'est preferable de ne pas repondre quand on ne sait pas. Malheuresement sur cet examen a la con je ne peux pas m'appuyer sur des theories non fondees. Le fait est c'est le prof qui decide ce qui est vrai et ce qui ne l'est pas ce que je trouve completement ridicule mais c comme ca. Dsl si ma reponse a semble agressive. C'etait pas voulu.
Opehé
[align=center]Image
Avatar de l’utilisateur
papamaster
Carabin vétéran
 
Messages: 295
Inscription: 10 Oct 2012, 11:28

Re: Exo du prof

Messagepar Zhost » 14 Oct 2012, 17:09

O. Thomas a écrit:Oui je comprends votre question qui me parait pertinente.
Effectivement ces molécules sont identiques , ce ne sont donc pas des stéréo-isomères de conformation car l angle dièdre est le même pour les deux schémas.
Merci de le corriger auprès des étudiants.


Et voilà la réponse du dimanche (-:

papamaster a écrit:Dsl si ma reponse a semble agressive. C'etait pas voulu.

No problem (-;
L'erreur est humaine, ça m'est déjà arrivé 4 fois en 1 mois pour des petites bêtises. Heureusement que vous êtes de nature indulgentes, sinon je serais déjà sur la place publique en train de me recevoir des cailloux de toutes sortes :mrgreen:

J'vais faire une annonce.
Tu as gagné toute notre estime :lol: :lol: :
Pensez bien à éditer votre question avec l'en-tête [Résolu] lorsque la réponse vous convient !

Image

In orga we drug
Avatar de l’utilisateur
Zhost
Carabin addicted
 
Messages: 1173
Inscription: 07 Sep 2010, 09:02

Re: [Résolu] Exo du prof

Messagepar papamaster » 14 Oct 2012, 17:50

Je parlais pas de toi mais merci
Opehé
[align=center]Image
Avatar de l’utilisateur
papamaster
Carabin vétéran
 
Messages: 295
Inscription: 10 Oct 2012, 11:28


Retourner vers Chimie Organique



Qui est en ligne

Utilisateurs parcourant ce forum: Aucun utilisateur enregistré et 0 invités