Le Guide pour bien débuter la LAS : Ici

Tutoriel Forum : Ici

Planning des Séances Tutorat et EB : ICI !
Errata : Séances Tutorat et EB, Annatuts, Ronéos
Centres de Téléchargement : ICI !
Réponses des Profs : ICI !
Annales : Achat, Corrections Officieuses
Annatuts : 2025-2026, Sommaire
MCC 25/26 : ICI
Candidature MMOPK : ICI
Terminale Santé : ICI

CORRECTION ST 4 : Ici

Newsletter : ICI


[résolu] Classement de stabilité (ronéo 2)


[résolu] Classement de stabilité (ronéo 2)

Messagepar Dilou » 21 Oct 2012, 17:39

Salut ! :)

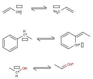
J'ai une question par rapport au classement de stabilité qui est fait dans la ronéo 2 , à un moment ya marqué que la mésomérie n-sigma-pi est plus stabilisante que la mésomérie v-sigma-pi parce que dans le n-sigma-pi le carbone respecte la règle de l'octet ..
En fait, j'arrive pas à voir la différence avec v-sigma-pi puisque la aussi il va respecter la règle de l'octet non ? La liaison pi va pas venir "combler" la case vacante ?

Merci beaucoup :D
Dernière édition par Dilou le 21 Oct 2012, 19:53, édité 1 fois.
VP Evènementiel (C.L.A.C.) 2014-2015

Ronéioste Biocell 2013-2014
Avatar de l’utilisateur
Dilou
Ronéoiste
 
Messages: 496
Inscription: 24 Aoû 2012, 14:48

Re: Classement de stabilité (ronéo 2)

Messagepar Zhost » 21 Oct 2012, 18:34

Salut

mésomérie.png
mésomérie.png (8.09 Kio) Vu 196 fois


Seule dans la dernière molécule on respecte la règle de l'octet chez tous les atomes de carbone.

It's good Mister Dilou :') ?
PS : dans la dernière molécule, la plus stable soi-disant, de savoir repasser avec en configuration avec 1 case vacante est hors du programme de P1. Mais je pense que ça doit se faire, si le prof dit qu'il y a mésomérie dans ce cas de figure.
Pensez bien à éditer votre question avec l'en-tête [Résolu] lorsque la réponse vous convient !

Image

In orga we drug
Avatar de l’utilisateur
Zhost
Carabin addicted
 
Messages: 1173
Inscription: 07 Sep 2010, 09:02

Re: Classement de stabilité (ronéo 2)

Messagepar Dilou » 21 Oct 2012, 19:52

Aaah d'acc parfait j'ai compris !
Mais c'est Miss et pas Mister :terror: haha

Merci beaucoup !!
VP Evènementiel (C.L.A.C.) 2014-2015

Ronéioste Biocell 2013-2014
Avatar de l’utilisateur
Dilou
Ronéoiste
 
Messages: 496
Inscription: 24 Aoû 2012, 14:48

Re: [résolu] Classement de stabilité (ronéo 2)

Messagepar Zhost » 21 Oct 2012, 20:59

La prochaine fois je saurais, dsl :mrgreen:

Merci d'avoir spontanément mis "[Résolu]" ^_^
Pensez bien à éditer votre question avec l'en-tête [Résolu] lorsque la réponse vous convient !

Image

In orga we drug
Avatar de l’utilisateur
Zhost
Carabin addicted
 
Messages: 1173
Inscription: 07 Sep 2010, 09:02


Retourner vers Chimie Organique



Qui est en ligne

Utilisateurs parcourant ce forum: Aucun utilisateur enregistré et 1 invité