Le Guide pour bien débuter la LAS : Ici

Tutoriel Forum : Ici

Planning des Séances Tutorat et EB : ICI !
Errata : Séances Tutorat et EB, Annatuts, Ronéos
Centres de Téléchargement : ICI !
Réponses des Profs : ICI !
Annales : Achat, Corrections Officieuses
Annatuts : 2025-2026, Sommaire
MCC 25/26 : ICI
Candidature MMOPK : ICI
Terminale Santé : ICI

RÉSULTATS EB 5 : Ici

Newsletter : ICI


[Résolu] Livre O Thomas Like/unlike


[Résolu] Livre O Thomas Like/unlike

Messagepar Clinch » 29 Oct 2012, 16:15

Salut :)


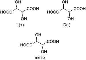
j'ai une petite question concernant cette partie, à la page 89 pour la molécule unlike il y a une de configuration R/R et l'autre S/R donc ce sont des diastéréoisomere non ? pas des énantiomeres

Ensuite par rapport à l'acide Tartrique p77 il y a marqué qu'il est chiral alors que page 86 il y a marqué qu'il a 2 centres chiraux mais qu'il est achirale donc je suis un peu embrouillé si quelqu'un peut m'aider ça serait simpas :D
Comment veux tu que je mène une vie de rêve alors que je ne dors plus.
Clinch
Carabin Geek
 
Messages: 543
Inscription: 19 Aoû 2012, 12:42

Re: Livre O Thomas Like/unlike

Messagepar Raboucho » 29 Oct 2012, 16:36

Salut :)

J'ai pas le livre mais je vais quand même essayer de te répondre ;)

Clinch a écrit:à la page 89 pour la molécule unlike il y a une de configuration R/R et l'autre S/R donc ce sont des diastéréoisomere non ? pas des énantiomeres

Si les molécules sont bien R/R et S/R, ce sont bien des diastéréoisomères ;)

Clinch a écrit:Ensuite par rapport à l'acide Tartrique p77 il y a marqué qu'il est chiral alors que page 86 il y a marqué qu'il a 2 centres chiraux mais qu'il est achirale donc je suis un peu embrouillé si quelqu'un peut m'aider ça serait simpas :D

Si tu peux me mettre une photo de la molécule, je te réponds ;)
Image Image Image


CM Forum - 2015/2016


TUT' CHIMIE G et UE15 - 2014/2015 :arrow: à la retraite :crying:


:dance: N'oubliez pas de passer votre post en résolu svp :dance:


Image
Avatar de l’utilisateur
Raboucho
CM Forum
 
Messages: 2982
Inscription: 15 Aoû 2012, 21:01
Localisation: Donjon Marseillais

Re: Livre O Thomas Like/unlike

Messagepar Clinch » 29 Oct 2012, 16:47

Je n'ai pas compris pourquoi une fois il est achiral et une autre fois il est chiral enfaite
Fichiers joints
300px-Tartaric_acid.png
300px-Tartaric_acid.png (10.36 Kio) Vu 765 fois
Comment veux tu que je mène une vie de rêve alors que je ne dors plus.
Clinch
Carabin Geek
 
Messages: 543
Inscription: 19 Aoû 2012, 12:42

Re: Livre O Thomas Like/unlike

Messagepar Raboucho » 29 Oct 2012, 17:02

Ben j'imagine que c'est le composé méso qui est dit achirale... c'est parce que tu as un centre de symétrie puisque tu as un OH en avant et l'autre en arrière ;)

Sur les deux molécule du dessus, les OH sont soit en avant, soit en arrière tous les deux donc il ne peut pas y avoir de centre de symétrie

Compris ? :mrgreen:
Image Image Image


CM Forum - 2015/2016


TUT' CHIMIE G et UE15 - 2014/2015 :arrow: à la retraite :crying:


:dance: N'oubliez pas de passer votre post en résolu svp :dance:


Image
Avatar de l’utilisateur
Raboucho
CM Forum
 
Messages: 2982
Inscription: 15 Aoû 2012, 21:01
Localisation: Donjon Marseillais

Re: Livre O Thomas Like/unlike

Messagepar Clinch » 29 Oct 2012, 17:04

Ah d'accord merci :)
Comment veux tu que je mène une vie de rêve alors que je ne dors plus.
Clinch
Carabin Geek
 
Messages: 543
Inscription: 19 Aoû 2012, 12:42

Re: Livre O Thomas Like/unlike

Messagepar Raboucho » 29 Oct 2012, 17:05

De rien ;)
Image Image Image


CM Forum - 2015/2016


TUT' CHIMIE G et UE15 - 2014/2015 :arrow: à la retraite :crying:


:dance: N'oubliez pas de passer votre post en résolu svp :dance:


Image
Avatar de l’utilisateur
Raboucho
CM Forum
 
Messages: 2982
Inscription: 15 Aoû 2012, 21:01
Localisation: Donjon Marseillais

Re: Livre O Thomas Like/unlike

Messagepar Zhost » 29 Oct 2012, 20:56

Mais c'est far-pait tout ça :') :') :') !!
Pensez bien à éditer votre question avec l'en-tête [Résolu] lorsque la réponse vous convient !

Image

In orga we drug
Avatar de l’utilisateur
Zhost
Carabin addicted
 
Messages: 1173
Inscription: 07 Sep 2010, 09:02


Retourner vers Chimie Organique



Qui est en ligne

Utilisateurs parcourant ce forum: Aucun utilisateur enregistré et 2 invités