Le Guide pour bien débuter la LAS : Ici

Tutoriel Forum : Ici

Planning des Séances Tutorat et EB : ICI !
Errata : Séances Tutorat et EB, Annatuts, Ronéos
Centres de Téléchargement : ICI !
Réponses des Profs : ICI !
Annales : Achat, Corrections Officieuses
Annatuts : 2025-2026, Sommaire
MCC 25/26 : ICI
Candidature MMOPK : ICI
Terminale Santé : ICI

INSCRIPTIONS ATELIERS ORAUX : Ici

SUJETS EB SEMESTRE 2 : Ici

Newsletter : ICI


[Résolu] Annatut QCM 1 réaction avancé


[Résolu] Annatut QCM 1 réaction avancé

Messagepar Dimi » 03 Nov 2012, 18:41

Capture d’écran 2012-11-03 à 17.39.05.png
Capture d’écran 2012-11-03 à 17.39.05.png

Bonjour .

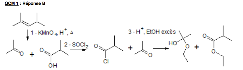
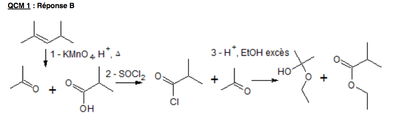
Dans les coupures oxydantes, je vois pas trop quelle coté de l'alcène sera transformé en Acide carbo et en cétone ! Moi la j'avais fais l'inverse, voici la correction:
Fichiers joints
Capture d’écran 2012-11-03 à 17.40.31.png
Dimi
Carabin No Life
 
Messages: 873
Inscription: 09 Sep 2012, 19:03

Re: Annatut QCM 1 réaction avancé

Messagepar WatiGG » 03 Nov 2012, 18:59

Coucou !

C'est pas très compliqué en fait !

Si la double-liaison est substituée à deux carbones d'un côté, de ce côté là on formera une cétone (pour garder les deux carbones qui étaient là au départ, rien ne se perd, rien ne se crée ! ^^).
Si la double-liaison est substituée à un seul carbone de l'autre côté, on y formera un aldéhyde… mais en présence d'acide et de chaleur, on aura une autre étape dans la réaction (mécanisme = on s'en fout) qui aboutira à un acide carboxylique !

Vala =D
Tuteur de chimie orga 2012-2013 retraité
VP G33K et VP Communication
BDE Médecine Nice 2013-2014

π-Carabins

Cliquez pour vous détendre.
Avatar de l’utilisateur
WatiGG
Administrateur
Administrateur
 
Messages: 1356
Inscription: 13 Sep 2010, 19:33

Re: Annatut QCM 1 réaction avancé

Messagepar Dimi » 04 Nov 2012, 13:25

Oui c'est cool !

merci
Dimi
Carabin No Life
 
Messages: 873
Inscription: 09 Sep 2012, 19:03


Retourner vers Chimie Organique



Qui est en ligne

Utilisateurs parcourant ce forum: Aucun utilisateur enregistré et 0 invités