Le Guide pour bien débuter la LAS : Ici

Tutoriel Forum : Ici

Planning des Séances Tutorat et EB : ICI !
Errata : Séances Tutorat et EB, Annatuts, Ronéos
Centres de Téléchargement : ICI !
Réponses des Profs : ICI !
Annales : Achat, Corrections Officieuses
Annatuts : 2025-2026, Sommaire
MCC 25/26 : ICI
Candidature MMOPK : ICI
Terminale Santé : ICI

CORRECTION ST 4 : Ici

Newsletter : ICI


[Résolu] - Nomenclature des cycles -


[Résolu] - Nomenclature des cycles -

Messagepar Fraancky » 09 Nov 2012, 17:09

Bonsoir,

Je ne sais pas si je vais réussir à me faire comprendre mais je vais tenter :D

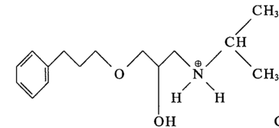
Lors de la nomenclature, je n'ai pas très bien compris comment on positionnait les cyclohexanes au niveau de l'hydrure parent ? Je m'explique, faut-il compter jusqu'à toucher le cyclohexane ou bien s'arrêter un carbone avant ? ^^ idem pour les pyrrol, furane, pyridine ?

Voilà en espérant me faire comprendre :D Merci

ps : j'ai mis une petite photo je sais pas si c'est très utile mais bon ..
Fichiers joints
Capture.PNG
Si tu lis ça, c'est que t'es trop cool
Avatar de l’utilisateur
Fraancky
Carabin vétéran
 
Messages: 368
Inscription: 04 Sep 2012, 09:14

Re: - Nomenclature -

Messagepar WatiGG » 09 Nov 2012, 18:17

Hey !

Alors on part du carbone juste avant le cycle !

Dans ton exemple, on a un "éther de 3-phénylpropane" (et de (N-(1-méthyléthyl)-3-aminopropan-2-ol)
Tuteur de chimie orga 2012-2013 retraité
VP G33K et VP Communication
BDE Médecine Nice 2013-2014

π-Carabins

Cliquez pour vous détendre.
Avatar de l’utilisateur
WatiGG
Administrateur
Administrateur
 
Messages: 1356
Inscription: 13 Sep 2010, 18:33

Re: - Nomenclature -

Messagepar Fraancky » 09 Nov 2012, 18:21

Merci et donc c'est tjrs le cas même pour les pyrrol, furane, pyridine ? :)
Si tu lis ça, c'est que t'es trop cool
Avatar de l’utilisateur
Fraancky
Carabin vétéran
 
Messages: 368
Inscription: 04 Sep 2012, 09:14

Re: - Nomenclature -

Messagepar WatiGG » 09 Nov 2012, 18:31

En nomenclature on te demandera pas de nommer plus dur qu'un phényl ou un cycloalcane ^^ !
Pyrrole, furane, imidazole… c'est hors programme
Tuteur de chimie orga 2012-2013 retraité
VP G33K et VP Communication
BDE Médecine Nice 2013-2014

π-Carabins

Cliquez pour vous détendre.
Avatar de l’utilisateur
WatiGG
Administrateur
Administrateur
 
Messages: 1356
Inscription: 13 Sep 2010, 18:33

Re: - Nomenclature -

Messagepar Fraancky » 09 Nov 2012, 18:41

OK merci beaucoup :)
Si tu lis ça, c'est que t'es trop cool
Avatar de l’utilisateur
Fraancky
Carabin vétéran
 
Messages: 368
Inscription: 04 Sep 2012, 09:14


Retourner vers Chimie Organique



Qui est en ligne

Utilisateurs parcourant ce forum: Aucun utilisateur enregistré et 3 invités