Oui c'est bien du saccharose mais j'admet que c'est pas facile de s'en rendre compte ^^
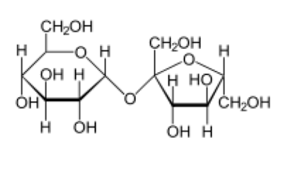
En général, on représente le saccharose comme ma cotut Justine te l'as montrer avec les deux résidus l'un au dessus de l'autre : là tu vois bien que la liaison lie le C1 en conformation alpha du Glucose avec le C2 en conformation béta du fructose...
Dans la représentation que tu montres, on met les 2 résidus côte à côte.
Le problème est que les deux C Anomérique sont sur la droite du sucre (sur une image en tout cas) donc la liaison serait difficile à représenter : il faudrait faire un trait entre le C1 du Glucose pour aller relier le C2 du fructose de l'autre côté...
DONC on tourne le fructose (comme une crêpe !) c'est à dire que tous les groupements qui étaient au dessus du plan passent en dessous et vice versa ! Attention on ne change pas du tout la configuration du fructose mais on le regarde par derrière si tu veux ^^ Du coup après avoir retourné ton fructose, les deux fonctions hémi-acétal/cétal se regardent ^^ et c'est plus facile pour représenter la liaison !
Je pense que tu n'a pas réalisé que le CH2OH sur la droite de l'image que tu as tiré des anatut n'est pas le carbone anomérique ! Le carbone anomérique est de l'autre côté du fructose et il est en configuration béta. En principe, quand on représente un ose cyclique le OH anomérique est vers le haut mais comme on a retourné la molécule de fructose, le OH est vers le bas mais ça reste l'anomère béta.
Le Glucose lui est tourné du côté habituel. Je pense que mnt tu peux bien voir que la liaison est bien de type a1,b2 !
Okay ?
