je ne sais pas comment faire pour passer de la forme lineaire à cylique des oses et vice versa pourriez me dire comment faire svp ?
merci bcp =)





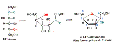
Ceyy a écrit:Il me semble que tout est ce qui est a droite sous forme linéaire sera placé en bas du plan de la molécule et inversement pour ce qui est de la gauche.Oui exactement retiens ça, c'est un bon moyen mnémotechnique !
N'oublie pas l'hemi acetalisation entre C5 et C1 (C4 et C2 pour les cetoses il me semble) donc pas de OH à placer mais plutôt un CH2OH pour le dernier carbone qui sera en haut du plan de la molécule.
Attention l'hémi-cétalisation des cétoses se fait entre C5 et C2 (la cétone est en C2^^)
Oui pour la série D
Je te dis ça en regardant les diapos du prof mais vu qu'il n'y a pas beaucoup d'exemples je ne suis pas totalement sûre. Attend confirmation ou rectification d'un tuteur




Utilisateurs parcourant ce forum: Aucun utilisateur enregistré et 5 invités