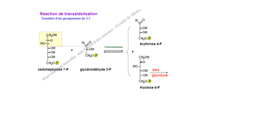
Alors, voilà j'ai un problème au niveau de la deuxième "transaldolisation".
Parce qu'au début, on fait une transcétolisation (on transfert 2C), par définition on prend 2C du cétose (xylulose 5P) et on le donne à l'aldose (Ribose 5P) --> on forme donc du GALD 3P (aldose) et du Sedoheptulose 7P (cétose) Ici, no problem !
Maintenant on fait une transaldolisation (apparemment) mais seulement on prend 3C MAIS du Sedoheptulose, ici je comprend pas du tout ... Pour moi c'est une transcétolisation enfin même pas sinon on prendrait que 2C mais bon peut importe non ?
J'aimerais comprendre ce qu'il se passe ... Ça m'étonnerait que ce soit une erreur sinon ça flancherait toutes les interconversions des oses mais où est mon erreur ?
Merci beaucoup

car il me semble pas que ce soit la définition exacte d'une transaldolisation/cétolisation (j'me trompe peut être) ! 