j’écris se message par rapport au Probabilité Conditionnelles Dm3 pour la question numero 2
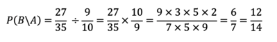
Es que vous pouvais m’expliquer s’il vous plaît qu’elle est votre technique pour trouver la réponse à se calcule. J’ai compris pourquoi vous avais fait P(B/A) = 27/35….. mais je n’arrive pas du tt à le calquer sans calculatrice pour trouver justement 12/14 pouvais vous me dire comment avais vous fait pour en arriver à se résultat svp (pour par la suite ne pas mettre 2h sur le même partielle arriver au partiel

