Le Guide pour bien débuter la LAS : Ici

Tutoriel Forum : Ici

Planning des Séances Tutorat et EB : ICI !
Errata : Séances Tutorat et EB, Annatuts, Ronéos
Centres de Téléchargement : ICI !
Réponses des Profs : ICI !
Annales : Achat, Corrections Officieuses
Annatuts : 2025-2026, Sommaire
MCC 25/26 : ICI
Candidature MMOPK : ICI
Terminale Santé : ICI

CORRECTION ST 4 : Ici

Newsletter : ICI


QCM 3 ronéo 1


QCM 3 ronéo 1

Messagepar Clinch » 20 Sep 2012, 17:34

Hola ! :)

J'ai une petite question concernant ce QCM, je ne comprends pas pourquoi il y a 2*(-ke racine2)/a et pas -ke²*racine2/a si quelqu'un a la réponse :)
Comment veux tu que je mène une vie de rêve alors que je ne dors plus.
Clinch
Carabin Geek
 
Messages: 543
Inscription: 19 Aoû 2012, 12:42

Re: QCM 3 ronéo 1

Messagepar daphné » 20 Sep 2012, 17:58

salut :wink:

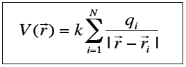
parce que la formule à appliquer est la suivante:
fonction potentiel électrique.png
fonction potentiel électrique.png (2.57 Kio) Vu 106 fois


attention à ne pas confondre avec la formule de la fonction énergie potentielle, dont la formule est:
fonction énergie potentielle.png
fonction énergie potentielle.png (3.47 Kio) Vu 106 fois
if you're not wasted, the week-end is!
Avatar de l’utilisateur
daphné
Carabin addicted
 
Messages: 1570
Inscription: 03 Sep 2011, 19:29

Re: QCM 3 ronéo 1

Messagepar Clinch » 21 Sep 2012, 05:48

Ah d'accord ! Merci :)
Comment veux tu que je mène une vie de rêve alors que je ne dors plus.
Clinch
Carabin Geek
 
Messages: 543
Inscription: 19 Aoû 2012, 12:42

Re: QCM 3 ronéo 1

Messagepar Jipé » 21 Sep 2012, 13:18

Bonjour !

C'est un piège classqiue, le Pr Sepulchre le souligne d'ailleurs dans ses diapos, donc attention ! :wink:

Bonne journée !
~~Chef Tuteur 2013-2014~~

~~Ronéiste UE3a Physique 2013-2014~~

~~Tuteur UE3a Physique/Biophysique 2012-2013~~


"I have nothing to offer but blood, toil, tears and sweat."
Winston Churchill, 1940


Image Image
Avatar de l’utilisateur
Jipé
Ex-Chef TuT'
 
Messages: 1228
Inscription: 15 Sep 2011, 17:16


Retourner vers Physique S1



Qui est en ligne

Utilisateurs parcourant ce forum: Aucun utilisateur enregistré et 0 invités