Le Guide pour bien débuter la LAS : Ici

Tutoriel Forum : Ici

Planning des Séances Tutorat et EB : ICI !
Errata : Séances Tutorat et EB, Annatuts, Ronéos
Centres de Téléchargement : ICI !
Réponses des Profs : ICI !
Annales : Achat, Corrections Officieuses
Annatuts : 2025-2026, Sommaire
MCC 25/26 : ICI
Candidature MMOPK : ICI
Terminale Santé : ICI

RÉSULTATS EB 5 : Ici

Newsletter : ICI


(OK) QCM de quantique Annatut


(OK) QCM de quantique Annatut

Messagepar Sherry » 21 Sep 2012, 13:32

Bonjour :D

J'ai un peu de mal à résoudre ce QCM,surtout que dans la correction il y à juste écrit réponse E sans justification :
QCM 1 : (QCM Pr Legrand)
Plus le nombre quantique n de l’orbite de Bohr est grand,
A) Plus petit est le rayon de l’orbite et moins négative est l’énergie;
B) Plus grand est le rayon de l’orbite et plus négative est l’énergie;
C) Plus grand est le rayon de l’orbite et moins positive est l’énergie;
D) Plus grand est le rayon de l’orbite et plus positive est l’énergie;
E) A,B,C,D sont faux.

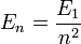
Je pensais à utiliser cette formule :

quantique.PNG
quantique.PNG (4.69 Kio) Vu 249 fois


ainsi que celle qui relie le rayon à n^2 : r = 0,53 A°x n^2
Mais après je suis un peu perdue :?
Dernière édition par Sherry le 21 Sep 2012, 13:56, édité 1 fois.
Je suis pour l'égalité des sexes, je prendrai moi-même les mesures.
Avatar de l’utilisateur
Sherry
Carabin vétéran
 
Messages: 271
Inscription: 22 Jan 2012, 18:52

Re: QCM de quantique Annatut

Messagepar Jipé » 21 Sep 2012, 13:43

Bonjour !

Eh bien tu as déjà trouvé les bonnes formulkes à utiliser ! Tu as fait 50% du travail ;)

Qu'est-ce qu'il faut retenir de tout ce charabia ?
:arrow: Que En est négatif et inversement proportionnelle à n²
:arrow: Que rn est proportionnel à n²

Donc si n augmente, n² augmente et donc :
:arrow: En va être "moins négatif"
:arrow: rn va être plus grand

Aucune des propositions ne convient donc E ;)
Voilà, ce QCM est assez piégeux car on s'embrouille facilement bien que la résolution en elle-même ne pose pas de problème majeur :)

Bonne journée !
~~Chef Tuteur 2013-2014~~

~~Ronéiste UE3a Physique 2013-2014~~

~~Tuteur UE3a Physique/Biophysique 2012-2013~~


"I have nothing to offer but blood, toil, tears and sweat."
Winston Churchill, 1940


Image Image
Avatar de l’utilisateur
Jipé
Ex-Chef TuT'
 
Messages: 1228
Inscription: 15 Sep 2011, 17:16

Re: QCM de quantique Annatut

Messagepar ÅLEX » 21 Sep 2012, 13:46

Salut :)
Tu as utilisé les bonnes formules

Si n augmente alors le rayon de l'orbite augmente.

physique.png
physique.png (477 Octets) Vu 239 fois


Grâce à celle la tu vois que si n^2 augmente 1/n^2 diminue donc ça va être moins négatif :)

Voilà bonne après-midi !

Edit: Jipé trop rapide !
Image
Avatar de l’utilisateur
ÅLEX
Carabin Geek
 
Messages: 608
Inscription: 04 Déc 2011, 09:43

Re: QCM de quantique Annatut

Messagepar Jipé » 21 Sep 2012, 13:51

Gnark gnark, c'est grâce à ma longueur d'onde de de Broglie :arrow: il faut vraiment que j'arrête de répondre aux questions de quantique :mrgreen:
~~Chef Tuteur 2013-2014~~

~~Ronéiste UE3a Physique 2013-2014~~

~~Tuteur UE3a Physique/Biophysique 2012-2013~~


"I have nothing to offer but blood, toil, tears and sweat."
Winston Churchill, 1940


Image Image
Avatar de l’utilisateur
Jipé
Ex-Chef TuT'
 
Messages: 1228
Inscription: 15 Sep 2011, 17:16

Re: QCM de quantique Annatut

Messagepar Sherry » 21 Sep 2012, 13:54

Super,j'ai tout bien compris. Merci beaucoup à vous deux :D
Je suis pour l'égalité des sexes, je prendrai moi-même les mesures.
Avatar de l’utilisateur
Sherry
Carabin vétéran
 
Messages: 271
Inscription: 22 Jan 2012, 18:52

Re: QCM de quantique Annatut

Messagepar ÅLEX » 21 Sep 2012, 13:55

Moi j'aurais plutôt dit à cause de la masse relativiste ! :D
Image
Avatar de l’utilisateur
ÅLEX
Carabin Geek
 
Messages: 608
Inscription: 04 Déc 2011, 09:43


Retourner vers Physique S1



Qui est en ligne

Utilisateurs parcourant ce forum: Aucun utilisateur enregistré et 0 invités

cron