Le Guide pour bien débuter la LAS : Ici

Tutoriel Forum : Ici

Planning des Séances Tutorat et EB : ICI !
Errata : Séances Tutorat et EB, Annatuts, Ronéos
Centres de Téléchargement : ICI !
Réponses des Profs : ICI !
Annales : Achat, Corrections Officieuses
Annatuts : 2025-2026, Sommaire
MCC 25/26 : ICI
Candidature MMOPK : ICI
Terminale Santé : ICI

CORRECTION ST 4 : Ici

Newsletter : ICI


Pénétrance incomplète


Pénétrance incomplète

Messagepar manounee » 01 Sep 2022, 10:29

Coucou!

Concernant la pénétrance incomplète, comment la différencier d'une transmission autosomique récessive?

Merciii :lool:
manounee
Carabin vétéran
 
Messages: 358
Inscription: 24 Aoû 2021, 16:01

Re: Pénétrance incomplète

Messagepar Biomol'ka » 01 Sep 2022, 13:55

Coucouu !

D'abord, il faut savoir que la pénétrance incomplète et la transmission autosomique récessive n'ont rien en commun. Premièrement, la pénétrance incomplète est une exception aux règles de transmission et s'appliquent aux transmissions autosomiques dominantes.

Je te remets les arbres généalogiques caractéristiques de ces 2 notions.

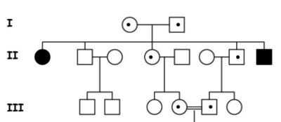
:arrow: Pour la transmission autosomique récessive :

Arbre généalogique transmission récessive.PNG


Là tu vois que les 2 sexes sont atteints et peuvent transmettre de la même manière. Il s'agit donc d'une transmission autosomique.

De plus, la transmission est horizontale (=les parents ne sont pas atteints mais porteurs et ont des enfants malades et sains + il n’y a pas d’antécédents de maladie dans la famille mais les enfants d’une même génération sont souvent atteints. Autrement dit, la maladie ne continue pas vers le bas). Donc c'est une transmission récessive. Globalement comment on reconnaît une maladie récessive sur un arbre généalogique ? On voit des porteurs sains (des ronds ou carrés blanc centrés par un point noir) ce qu'on ne verrait JAMAIS pour une transmission dominante.

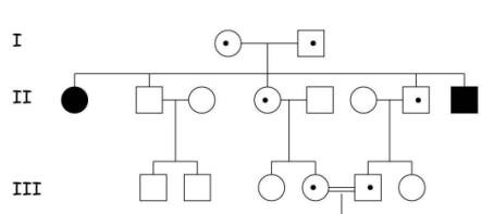
:arrow: Pour la pénétrance incomplète :

Arbre généalogique pénétrance incomplète.PNG


Là tu vois que c'est un mode de transmission autosomique car filles et garçons sont atteints et transmettent la mutation. Et la transmission est dominante car verticale. Donc, en théorie, tous les individus atteints ont au moins un parent atteint.
Or, je te propose de regarder l’individu III,6 qui n’a aucun de ses parents atteints selon l’arbre généalogique. En réalité, l’individu II,5 a sa mère atteinte (I,1) et un fils atteint (III,6) ce qui prouve qu’elle est porteuse de l’allèle muté à l’état hétérozygote. Ce cas est donc une exception à la dominance, lié à la pénétrance incomplète = saut de génération +++ : l’allèle muté (dominant) ne s’exprime pas chez II,5.
Cela nous amène donc à la définition : la pénétrance est le pourcentage d'individus porteurs de l'allèle muté qui vont développer la maladie.

Est-ce que c'est bon pour toi ?
:adn: Tutrice de génétique et biologie moléculaire 2022-2023 :adn:
Avatar de l’utilisateur
Biomol'ka
Tut' Biomol / Génétique
Tut' Biomol / Génétique
 
Messages: 1426
Inscription: 18 Sep 2021, 15:30

Re: Pénétrance incomplète

Messagepar manounee » 03 Sep 2022, 09:53

Je sais que ce sont deux notions différentes. Seulement si on regarde bien l'arbre de la pénétrance incomplète peut être utilisé pour une maladie autosomique récessive d’où ma question de savoir si on nous met cela en CC savoir si on peut dire que c'est un arbre de penetrance incomplète et récessive...
manounee
Carabin vétéran
 
Messages: 358
Inscription: 24 Aoû 2021, 16:01

Re: Pénétrance incomplète

Messagepar Biomol'ka » 05 Sep 2022, 10:06

Je ne comprends pas ta question. L’arbre pris pour exemple par la professeure pour la pénétrance incomplète est complètement différent de celui de la transmission récessive. On ne peut pas les confondre entre eux. La transmission est clairement verticale avec saut de génération pour la pénétrance incomplète alors qu’elle est horizontale pour la récessive.
:adn: Tutrice de génétique et biologie moléculaire 2022-2023 :adn:
Avatar de l’utilisateur
Biomol'ka
Tut' Biomol / Génétique
Tut' Biomol / Génétique
 
Messages: 1426
Inscription: 18 Sep 2021, 15:30

Re: Pénétrance incomplète

Messagepar manounee » 05 Sep 2022, 10:30

Je vais essayer de retourner la question ducoup, pourquoi l'arbre de pénétrance incomplète ne peut pas être utilisé en maladie récéssive? Essayes de faire avec une maladie récessive tu verras que ça marche aussi même si dans le cours cet arbre spécifique est pour la pénétrance incomplète
manounee
Carabin vétéran
 
Messages: 358
Inscription: 24 Aoû 2021, 16:01

Re: Pénétrance incomplète

Messagepar Biomol'ka » 07 Sep 2022, 09:51

Je comprends mieux ta question. Tu parles du cas où les 2 parents sont atteints et du coup le fils est 100% atteint et tu demandes s'il peut ne pas exprimer la maladie et si on peut appeler ça de la pénétrance incomplète. Ce cas n'a pas été décrit par la professeure. Elle dit juste : "La pénétrance incomplète se voit surtout pour les transmissions autosomiques dominantes". Elle ne parle pas de transmission récessive. Je pense qu'il faut rester simple car elle ne fait pas ce genre de pièges vu qu'elle n'en parle pas. En revanche, je pourrais lui poser cette question lors d'une prochaine vague de questions :

Est-ce que vous comptez cet item juste "La pénétrance incomplète peut s'appliquer à une maladie à transmission récessive" ?


Est-ce que ça te va comme première réponse en attendant ?
:adn: Tutrice de génétique et biologie moléculaire 2022-2023 :adn:
Avatar de l’utilisateur
Biomol'ka
Tut' Biomol / Génétique
Tut' Biomol / Génétique
 
Messages: 1426
Inscription: 18 Sep 2021, 15:30

Re: Pénétrance incomplète

Messagepar manounee » 08 Sep 2022, 14:31

Oui voilà c’est ce que je voulais dire 😂 désolé pour cette question un peu mal tournée mais oui je veux bien que cette question soit posée s’il te plaît.
Merci en tout cas pour ta réponse !
manounee
Carabin vétéran
 
Messages: 358
Inscription: 24 Aoû 2021, 16:01

Re: Pénétrance incomplète

Messagepar Biomol'ka » 11 Déc 2022, 14:50

Au cas où tu ne l'aurais pas vue et pour les futurs LAS qui se poseraient la question, la voici :D :
Capture.PNG
:adn: Tutrice de génétique et biologie moléculaire 2022-2023 :adn:
Avatar de l’utilisateur
Biomol'ka
Tut' Biomol / Génétique
Tut' Biomol / Génétique
 
Messages: 1426
Inscription: 18 Sep 2021, 15:30


Retourner vers Introduction à la génétique médicale



Qui est en ligne

Utilisateurs parcourant ce forum: Aucun utilisateur enregistré et 0 invités