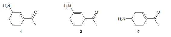
Je ne comprends pas pourquoi ces 3 molécules sont des stéréoisomères, j'aurais dit isomères de chaine en me disant qu'elles ont la même fonction, la même formule brute mais un squelette qui diffère.
Pouvez-vous m'expliquer svp?
Merci par avance



Utilisateurs parcourant ce forum: Aucun utilisateur enregistré et 1 invité