Le Guide pour bien débuter la LAS : Ici

Tutoriel Forum : Ici

Planning des Séances Tutorat et EB : ICI !
Errata : Séances Tutorat et EB, Annatuts, Ronéos
Centres de Téléchargement : ICI !
Réponses des Profs : ICI !
Annales : Achat, Corrections Officieuses
Annatuts : 2025-2026, Sommaire
MCC 25/26 : ICI
Candidature MMOPK : ICI
Terminale Santé : ICI

CORRECTION ST 4 : Ici

Newsletter : ICI


R/S et hydrogène


R/S et hydrogène

Messagepar shishiviolette » 30 Sep 2022, 22:39

Coucou :coeur:
J’ai une petite question, vraiment je galère sur les R S, enfaite j’arrive à numéroter les carbones, mais j’ai remarqué que ce qui me pose problème et qui rends mes réponses fausses c’est quand on doit voir si H est derrière ou pas, et donc savoir si on doit inverser le sens. Parfois le h n’est pas représenté, parfois le carbone n’est lié à aucun hydrogène (comme par exemple dans la séance tut je crois que y avait un carbone qui était lié à de l’azote, 2 carbone et un CH3 en arrière) .
Si ça vous embête pas, ça m’aiderait vraiiiiment à m’améliorer, parce que mise à part quelques erreurs d’inattention c’est LE truc que je ne comprends pas, j’ai faux alors qu’à chaque fois j’ai l’impression d’avoir bien résonné et ça me démotive un peu …
Merci beaucoup d’avance :wink2:
shishiviolette
Carabin No Life
 
Messages: 790
Inscription: 05 Juin 2022, 11:58

Re: R/S et hydrogène

Messagepar Camnésie » 01 Oct 2022, 11:25

Coucouuuuu :D

Alors aucun problème, c'est compliqué un peu de comprendre au début, mais j'espère qu'avec ce post ça va vraiment t'aider et que tu vas avoir l'illumination nécessaire pour pouvoir perfect toutes les RS haha !

Du coup, je t'ai préparé pleins d'exemples (youpiii) que je vais te détailler :

-----------------------------------------------------------------------------------------------------------------------------------------------------------------------------------------------------------------------

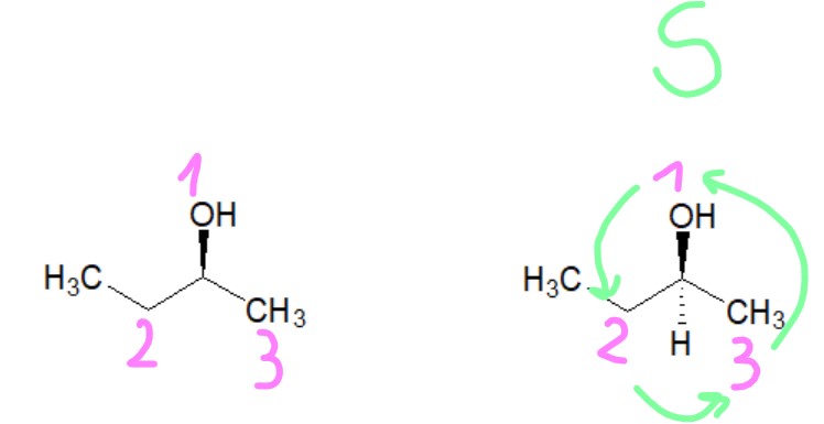
Exemple 1 : l'hydrogène est à l'arrière
Capture d’écran 2022-10-01 112328.jpg


Chose à savoir : les hydrogènes liés à des carbones ne sont pas représentés en Lewis (c'est pour ça qu'ici tu le vois pas), mais attention, ce n'est pas parce qu'ils ne sont pas représentés qu'ils ne sont pas là, il faut pouvoir respecter le nombre de liaisons ! (par ex : ici tu vois 3 liaisons à ton carbone asymétrique, mais normalement un carbone fait 4 liaisons, donc tu supposes que la 4e liaison est avec un hydrogène qui n'est pas représenté ; ) )

Donc revenons à nos moutons :sheep: :
Première étape tu numérotes (ça normalement tu m'as dis c'est good)
L'hydrogène n'est pas représenté mais est bien , il prend donc le numéro 4
Tu vois que tu as : 2 liaisons dans le plan + 1 liaison OH en AVANT du plan
:angel: On sait qu'un carbone asymétrique est lié à ses substituants par 2 liaisons dans le plan + 1 en avant + 1 en arrière
:arrow: Donc ici ton H (non-representé) est à l'arrière (check à droite)
On a alors notre numéro 4 à l'arrière, c'est le cas le plus mignon, tu as juste à placer tes flèches dans l'ordre 1 > 2 > 3 et tu regardes comment ça tourne ! Ici c'est donc S
-----------------------------------------------------------------------------------------------------------------------------------------------------------------------------------------------------------------------








-----------------------------------------------------------------------------------------------------------------------------------------------------------------------------------------------------------------------

Exemple 2 : l'H est à l'avant (pas kouleuhhhh)
Capture d’écran 2022-10-01 112446.jpg


Ici de nouveau tu numérotes
Tu vois qu'il manque une liaison pour compléter ton carbone => C'est el famoso H (donc le n°4) 8)
On a 2 liaisons dans le plan, une liaison OH vers l'ARRIERE cette fois-ci
Il nous reste donc la liaison en avant du plan = c'est pour l'H
Ainsi, on a notre H qui pointe à l'avant du plan
:angel: ATTENTION : LE NUMERO 4 (pour pouvoir lire dans l'ordre logique 1 > 2 > 3) DOIT NORMALEMENT ÊTRE A L'ARRIERE ! :angel:
:arrow: Mais là c'est l'inverse, il est devant, donc quand tu vas lire avec tes flèches comment ça tourne, tu vas faire l'inverse aussi ! Donc on lit dans l'ordre pas trop logique : 3 > 2 > 1 (boom explosion, nan je blague lol) :messed:
Tu es donc R !
-----------------------------------------------------------------------------------------------------------------------------------------------------------------------------------------------------------------------








-----------------------------------------------------------------------------------------------------------------------------------------------------------------------------------------------------------------------

Exemple 3 : l'H est dans le plan (lui il est vraiment relou je sais sorry...)
Capture d’écran 2022-10-01 112653.jpg


Spoiler : va falloir faire un gros effort de visualisation là, mais tkt je te développe tout
:coeur:
Donc ici pareil on a l'H qui n'est pas représenté
1 liaison dans le plan + 1 liaison derrière + 1 liaison en avant
Conclusion => L'H est *roulement de tambour* dans le plan !
Bam tu passes à la molécule du milieu, je t'ai représenté ton petit H

:?: Bon maintenant comment on fait vu que l'H est pas derrière ni devant ?
Tu te rappelles déjà que ta molécule est en 3D ! :glasses-nerdy:
Donc comme tout objet en 3D (genre comme le stylo que t'as dans les mains) tu peux le tourner dans l'espace pour l'observer sous différents angles (vas-y retournes ton stylo pour mettre un coup le capuchon le plus loin de tes yeux, un coup le bout du stylo)
Tu commences par te représenter en 3D dans ta tête la molécule :
- l'OH pointe vers toi
- La chaîne carbonée est dans le plan donc face à toi, parallèle à ta tête (tout comme l'H)
- le CH3 est derrière, le plus loin de tes yeux

:arrow: Maintenant on veut l'H le plus loin de tes yeux
Tu vas donc faire pivoter ta molécule de manière à amener vers toi la chaîne carbonée et à éloigner le plus possible l'hydrogène de toi (flèches violettes) 0_o
:arrow: Tu vas donc obtenir la figure de droite
On a bien l'H tout derrière et nos 3 premiers groupements face à nous
Là c'est bon tu as fais le plus dur, il ne te reste qu'a lire le sens de rotation : on est R encore

J'avoue celui-là est un peu plus casse pieds mais faut vraiment se le visualiser dans l'espace, tu peux faire le technique de la main (je te renvoie à ma fiche " stéréoisomérie, isomérie et notion de chiralité" pour voir la technique) si tu as vraiment du mal.
-----------------------------------------------------------------------------------------------------------------------------------------------------------------------------------------------------------------------








-----------------------------------------------------------------------------------------------------------------------------------------------------------------------------------------------------------------------

Exemple 4 : on a pas d'H (plus chill pour reposer les neurones après cet exemple infernal)
Capture d’écran 2022-10-01 112750.jpg


Là tu observes que ton carbone est déjà lié à 4 groupements
Il n'y a donc pas d'hydrogène caché ,sinon on aurait 5 liaisons et c'est pas possible.
Donc là tu numérotes toujours de la même manière en fonction du numéro atomique.
Tu places donc l'OH en premier, puis l'azote, puis ta chaîne carbonée et il te reste donc le CH3 qui prendra le numéro 4 du coup vu que c'est le moins fort.
C'est pas parce que ce n'est pas un hydrogène qu'il ne peut pas prendre le numéro 4 ! Au contraire, tu numérotes dans l'ordre et le numéro 4 c'est celui qui à pas la priorité. L'Hydrogène sera forcément numéro 4 mais le numéro 4 n'est pas forcément l'hydrogène ++++ :angel:
Même si souvent tu retrouveras l'hydrogène en numéro 4
Voilà, maintenant tu lis (ça tu gères)
On est encore R !
-----------------------------------------------------------------------------------------------------------------------------------------------------------------------------------------------------------------------




Voilà ! J'espère que c'est tout beau, tout clair dans ta tête maintenant et que j'ai répondu à ta question ! Je te veux à fond sur les QCMs de RS maintenant haha :in-love: !
Si jamais il y a encore quelque chose de pas clair vraiment n'hésites pas à me relancer ;)

Bon courage < 3


Des bisous de la chimie
Tutrice de CHIMIE 2022/2023
Camnésie
Tut' Chimie
Tut' Chimie
 
Messages: 998
Inscription: 02 Aoû 2021, 20:31

Re: R/S et hydrogène

Messagepar shishiviolette » 01 Oct 2022, 13:14

MERCIIIII vraiment c'est trop gentil d'avoir pris le temps de m'expliquer :coeur:
J'ai beauuuucoup mieux compris, j'ai toujours un peu de mal avec les cas où H est dans le plan, mais ça viendra sûrement avec le temps et l'entrainement !!

(désolé de te déranger encore) mais est ce que tu pourrais m'expliquer plus en détail la correction du tut de ce matin pour le carbone 1? J'avais trouvé R et je comprends pas trop pourquoi ici on trouve S.

Je te dis comment j'ai fais comme ça tu peux me dire ce qui va pas, (si ça se trouve j'ai aussi un problème avec la numérotation mdr j'espère pas y'en a deja assez comme ça) :
- j'ai numéroté le fluor 1, l'azote 2, le carbonne à droite 3 car il est lié à 2 carbones alors que celui de gauche n'est lié qu'à 1 carbone, donc je l'ai numéroté 4
- y' a pas de H donc logiquement on est dans la dernière situation que tu m'a expliquer et donc j'ai rien inversé comme sens
- (et la commencent les problèmes), je trouve R du coup, peut être que comme l'azote est derrière je suis sensé pas faire dans ce sens, je comprends pas trop dans ce cas 0_o

Merci d'avance, j'espère vraiiiiment que je vais m'améliorer sur ça :coeur:
shishiviolette
Carabin No Life
 
Messages: 790
Inscription: 05 Juin 2022, 11:58

Re: R/S et hydrogène

Messagepar Camnésie » 01 Oct 2022, 14:19

shishiviolette a écrit:est ce que tu pourrais m'expliquer plus en détail la correction du tut de ce matin pour le carbone 1?


Hey alors je te propose de refaire un autre post (juste tu copie-colle hein t'embêtes pas) dans la section QCM --> TUTORAT pour ce QCM comme ça si quelqu'un se pose la même question il aura directement la réponse aussi ;)
Tutrice de CHIMIE 2022/2023
Camnésie
Tut' Chimie
Tut' Chimie
 
Messages: 998
Inscription: 02 Aoû 2021, 20:31

Re: R/S et hydrogène

Messagepar shishiviolette » 01 Oct 2022, 14:30

pas de soucis :)
shishiviolette
Carabin No Life
 
Messages: 790
Inscription: 05 Juin 2022, 11:58


Retourner vers Isomérie et stéréoisomérie



Qui est en ligne

Utilisateurs parcourant ce forum: Aucun utilisateur enregistré et 0 invités