Heyyy
Désolé du délais de réponse déjà...
Mais pour te répondre, justement, tout est lié, si tu n'as pas compris pourquoi CH
2 passe avant CH
3 c'est aussi lié à la règle du second rang !
On va faire un exemple ensemble :

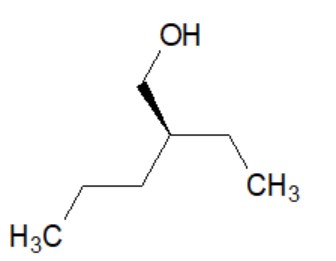
- 11.10.2022 A.jpg (6.92 Kio) Vu 221 fois
Donc ici tu veux numéroter en fonction de la priorité :
Déjà tu cherches tes
4 groupements différents : tu remarques qu'il y a 2 liaisons dans le plan liés à des carbones et une liaison en avant du plan lié à un carbone aussi. Il en manque une en arrière du plan : c'est donc l'hydrogène
Pourquoi l'hydrogène ? On sait que
le carbone peut former 4 liaisons. De plus une liaison
carbone <---> hydrogène ne sera pas représentée en CRAM pour éviter d'encombrer la molécule. Donc si tu vois qu'il manque des liaisons avec ton carbone c'est qu'il y a un hydrogène caché.

- 11.10.2022 B.jpg (9.57 Kio) Vu 221 fois
Donc, revenons à nos

. Ici on a donc au
premier rang (= directement lié au carbone asymétrique) 3 C (en rose) et 1 H.
Si on compare on voit que le C passe avant l'hydrogène,
l'hydrogène sera donc forcément en 4.
Mais comment différencier les 3C (surlignés en rose) ???
Il va falloir suivre la règle du second rang ! Mais kesako ça encore ??En fait tes
3C liés à ton carbone asymétrique sont liés à d'autres groupements aussi ! il faut aller voir plus loin, on regarde donc les substituants qui se situent à
2 liaisons du carbone asymétrique = second rang (représenté en bleu).
Le carbone du haut : - il forme une liaison avec un oxygène (en bleu)
- il forme évidement la liaison avec le carbone symétrique (mais celle là on s'en fou elle va rien départager parce que elle est commune avec les autres carbones en rose)
- il forme une liaison avec 2 autres hydrogènes (non-représentés)
===> Point fort ici : l'oxygène !
Le carbone de droite : - il forme une liaison avec un carbone (en bleu)
- il forme aussi 2 liaisons avec des H
===> Point fort ici : 1 carbone
Le carbone du bas : - il forme une liaison avec un carbone en bleu
- il forme aussi une liaison avec 2 H
===> Point fort ici : 1 carboneQuand on compares donc à quoi les
3C roses sont liés, donc lorsqu'on compare ce qui est surligné en bleu on remarque que :
L'oxygène prend la priorité sur les carbones, ainsi c'est le
carbone du haut qui a le meilleur atout dans ses liaisons, il sera donc prioritaire sur les 2 autres carbones (simplement liés à 1 carbone chacun)
CONCLUSION : le carbone du haut prend le numéro 1Entre le carbone de droite et du bas (en rose), qui choisir ??? Les deux sont reliés aux mêmes types de substituants, donc on va recommencer la même méthode et aller voir encore plus loin...
C'est la règle du TROISIEME RANG (en jaune) !!On réitère le même processus :

Le carbone de droite (rose) est lié à un carbone (bleu) lié lui-même à : 3 hydrogènes (H
3)

Le carbone du bas (rose) est lié à un carbone (bleu) lié lui-même à :
1 carbone + 2 hydrogènes
On compare : 3H contre
1C+2H ==> Le carbone a la priorité sur les hydrogènes.
On va donc favoriser le chemin qui mène à ce carbone !
On donne ainsi la priorité au carbone du bas par rapport au carbone de droite.
CONCLUSION : le carbone (ose) du bas prend le numéro 2
CONCLUSIONbis : le carbone de droite (rose) prend le numéro 3Ainsi tu as numéroté tous tes substituants ! Tu as simplement à vérifier que le numéro 4 est à l'arrière (
là c'est cool c'est le cas), tu places tes flèches de 1 vers 3, on tourne vers la gauche, on est S.
Petit tips : tu as qu'à te dire que c'est comme un arbre généalogique et que les atomes les plus sympa sont ceux qui ont la priorité sur les autres, tu vas chercher de générations en générations pour trouver celui qui à le plus de gens sympa dans sa famille. Et tu compares comme ça de génération (rang) en génération (rang) Attention : lorsqu'on établi la RS on va regarder les groupements (plusieurs atomes) liés au carbone, pas simplement l'atome directement lié au carbone asymétrique !Et voilààà j'espère c'est tout bon pour toi, n'hésites pas à me relancer si jamais !