Le Guide pour bien débuter la LAS : Ici

Tutoriel Forum : Ici

Planning des Séances Tutorat et EB : ICI !
Errata : Séances Tutorat et EB, Annatuts, Ronéos
Centres de Téléchargement : ICI !
Réponses des Profs : ICI !
Annales : Achat, Corrections Officieuses
Annatuts : 2025-2026, Sommaire
MCC 25/26 : ICI
Candidature MMOPK : ICI
Terminale Santé : ICI

RÉSULTATS EB 5 : Ici

Newsletter : ICI


Annatut dernière version QCM


Annatut dernière version QCM

Messagepar Axou » 26 Nov 2022, 00:07

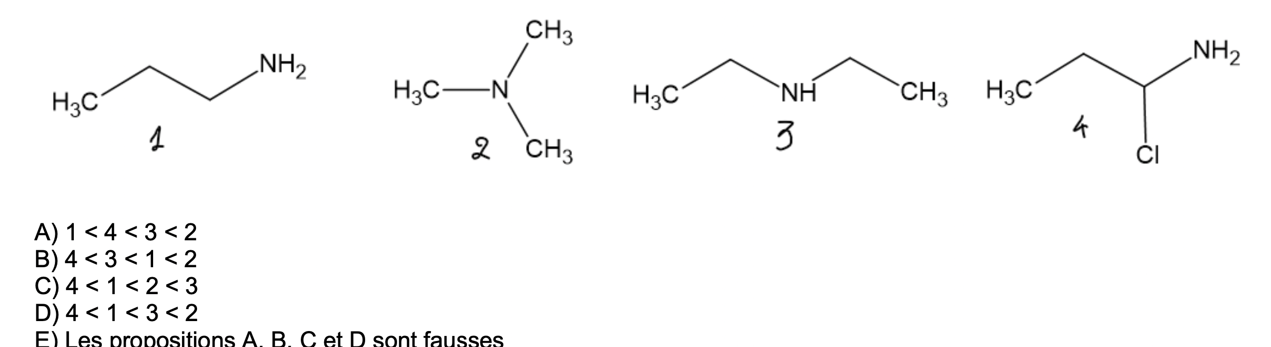
Hello bon c'est un peu bizarre car j'ai trouvé le bon ordre mais je ne comprends pas trop trop la justification pour la molécule 4. Vous dessinez un effet inductif donneur du NH2 vers le Cl, cependant si j'ai bien compris, le cl reste moins électronégatif que le N (F>N>CL>BR etc etc) donc, cela voudrait dire (en tout cas dans ma tête) qu'il existe toujours un très léger effet inductif du Cl vers le N ce qui donnerai un caractère encore basique à la molécule mais bien moins basique que toutes les autres...Ducoup est ce que ce serai possible d'expliquer juste pourquoi il existe un effet allant du NH au Cl svp ? Merci d'avance et merci pour votre travail ce semestre ! :coeur: (je vous met l'item en pj).
Fichiers joints
Capture d’écran 2022-11-25 à 23.58.00.png
Axou
Apprenti Carabin
 
Messages: 104
Inscription: 01 Aoû 2022, 22:05
Localisation: Dans une micelle

Re: Annatut dernière version QCM

Messagepar Camnésie » 28 Nov 2022, 22:19

Hello ! Alors non, le Cl est PLUS électronégatif que l'azote
Tutrice de CHIMIE 2022/2023
Camnésie
Tut' Chimie
Tut' Chimie
 
Messages: 998
Inscription: 02 Aoû 2021, 20:31

Re: Annatut dernière version QCM

Messagepar Axou » 29 Nov 2022, 18:18

Okay autant pour moi j'étais persuadé que l'azote est plus électronégatif que le Cl. Merci beaucoup !!
Axou
Apprenti Carabin
 
Messages: 104
Inscription: 01 Aoû 2022, 22:05
Localisation: Dans une micelle


Retourner vers Annatuts



Qui est en ligne

Utilisateurs parcourant ce forum: Aucun utilisateur enregistré et 1 invité