Hello !!!
Me voici (désolé du retard) !
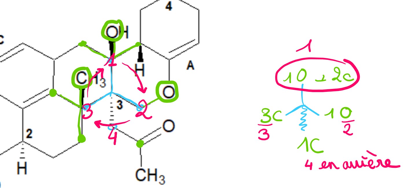
Donc première étape : tu regardes le premier rang
>>> On a que des
carbonesPas de bol, on passe au 2e rang
>>> On a des
oxygènes et des
carbonesRappel : pour établir la priorité, il faut d'abord chercher l'atome prioritaire suivant l'ordre (I> Br > Cl > F > O > N > C > H)
Si on ne peut pas différencier (c'est les deux mêmes atomes) on regarde la quantité d'atomes
Carbone du haut : lié à 1 oxygène + 2 carbones
Carbone de droite : lié à 1 O seulement
Carbone de gauche : lié à 3 C
Carbone du bas : lié à 1 C
L'oxygène est plus fort que le carbone, or on retrouve l'oxygène 1 fois dans le carbone de haut et de droite, si on compare les deux on voit que le carbone du haut a 2C en plus, il est donc prioritaire.
Ensuite pour les deux
carbones sans oxygène, on remarque une différence de quantité de C (3 contre 1 seul)
Le carbone de Gauche est prioritaire sur celui du bas
On a donc : Haut > Droite > Gauche > bas
Le dernier (celui en bas) est en arrière du plan = parfait on ne change rien, on lit dans l'ordre logique 1 > 2 > 3
On est R
C'est good ?
