Le Guide pour bien débuter la LAS : Ici

Tutoriel Forum : Ici

Planning des Séances Tutorat et EB : ICI !
Errata : Séances Tutorat et EB, Annatuts, Ronéos
Centres de Téléchargement : ICI !
Réponses des Profs : ICI !
Annales : Achat, Corrections Officieuses
Annatuts : 2025-2026, Sommaire
MCC 25/26 : ICI
Candidature MMOPK : ICI
Terminale Santé : ICI

RÉSULTATS EB 5 : Ici

Newsletter : ICI


EB2 QCM3 item D configuration relative Z


EB2 QCM3 item D configuration relative Z

Messagepar Elise0633 » 17 Oct 2022, 13:09

Hello,
Je n'arrive pas à voir pourquoi les deux doubles liaisons sont Z. Est-ce que vous pourriez me faire un petit schéma?
Merci beaucoup
Elise0633
Carabin confirmé
 
Messages: 80
Inscription: 03 Jan 2022, 21:18

Re: EB2 QCM3 item D configuration relative Z

Messagepar Camnésie » 17 Oct 2022, 21:04

Coucouuu :D

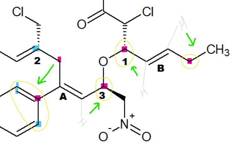
Attention, dans le correction l'item est faux, les 2 doubles liaisons sont E, non pas Z regarde :
EB2 ZE.jpg


C'est bon pour toi ou tu as besoin d'explications ? :coeur:
Tutrice de CHIMIE 2022/2023
Camnésie
Tut' Chimie
Tut' Chimie
 
Messages: 998
Inscription: 02 Aoû 2021, 20:31

Re: EB2 QCM3 item D configuration relative Z

Messagepar Elise0633 » 18 Oct 2022, 08:27

C'est bon pour moi. Merci beaucoup!
Elise0633
Carabin confirmé
 
Messages: 80
Inscription: 03 Jan 2022, 21:18


Retourner vers EB et Tutorats



Qui est en ligne

Utilisateurs parcourant ce forum: Aucun utilisateur enregistré et 0 invités