Le Guide pour bien débuter la LAS : Ici

Tutoriel Forum : Ici

Planning des Séances Tutorat et EB : ICI !
Errata : Séances Tutorat et EB, Annatuts, Ronéos
Centres de Téléchargement : ICI !
Réponses des Profs : ICI !
Annales : Achat, Corrections Officieuses
Annatuts : 2025-2026, Sommaire
MCC 25/26 : ICI
Candidature MMOPK : ICI
Terminale Santé : ICI

CORRECTION ST 4 : Ici

Newsletter : ICI


forme mésomere


forme mésomere

Messagepar shishiviolette » 15 Déc 2022, 17:02

Coucou !!
je t ai posé la question sur le discord au cas ou, mais je comprends passss comment savoir si une molécule est une forme mésomere d une autre ou pas, j'ai vu une de tes réponses à une questions du style, mais c'est toujours floue et ça me stress un peu :dont-know:
en esperant que tu voilles ça rapidement :)
shishiviolette
Carabin No Life
 
Messages: 790
Inscription: 05 Juin 2022, 11:58

Re: forme mésomere

Messagepar Axone » 15 Déc 2022, 19:08

Salut !
Alors sur un qcm où on te demande si la molécule A est une forme mésomère de la molécule B. Tu te dis qu'il faut qu'en bougeant les liaisons sur la molécule B tu retombes sur la molécule A, mais pas en bougeant les liaisons n'importe comment ! Tu dois respecter les schémas, c'est à dire que si tu as un schéma pie sigma pie tu dois bouger les 2 liaisons, pas qu'une seule, si tu as du n sigma pie tu dois bouger la double liaison ainsi que le DNL bien évidemment dans un mouvement synchrone comme si l'un poussait l'autre et en fonction aussi du caractère donneur ou receveur de la fonction. Le seul cas où tu bouges un seul truc c'est quand t'as v, une case vacante, où par définition il y a rien dedans donc rien à déplacer.
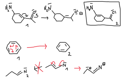
Dans les exemples ci-dessous :
Capture d’écran 2022-12-15 173548.png

--> Celui du haut : est-ce que la molécule 2 est une forme mésomère de la 1 ?
Faux : on prend la molécule 1 et on déplace ce que l'on peut : on a juste un schéma pie-sigma-pie or la cétone est juste receveuse donc le déplacement se fait vers elle, donc on forme la molécule avec l'alcoolate, donc pas la molécule 2
--> Celui du milieu : est-ce que la molécule 2 est une forme mésomère de la 1 ?
Vrai : on prend la molécule 1 et on regarde ce qu'on peut faire : on voit 3 schémas pie-sigma-pie consécutifs, donc on les déplace tous et on obtient bien la molécule 2
--> Celui du bas : est-ce que la molécule 2 est une forme mésomère de la molécule 1 ?
Faux : on prend la molécule 1 et on regarde ce qu'on peut faire : on voit un schéma n-sigma-pie et on voit une amine qui est donneuse donc on se retrouve avec la molécule à droite et non la molécule 2. Rappel : si on a une charge qui apparait alors que la molécule de base est neutre il y a forcément une charge opposée quelque part !
J'espère que c'est bon
Bonne soirée
Axone
Tut' Chimie
Tut' Chimie
 
Messages: 142
Inscription: 16 Aoû 2021, 15:56

Re: forme mésomere

Messagepar shishiviolette » 15 Déc 2022, 20:33

merci beaucoup !!!!!!
shishiviolette
Carabin No Life
 
Messages: 790
Inscription: 05 Juin 2022, 11:58


Retourner vers Effets électroniques, liaisons et solvants



Qui est en ligne

Utilisateurs parcourant ce forum: Aucun utilisateur enregistré et 0 invités