Le Guide pour bien débuter la LAS : Ici

Tutoriel Forum : Ici

Planning des Séances Tutorat et EB : ICI !
Errata : Séances Tutorat et EB, Annatuts, Ronéos
Centres de Téléchargement : ICI !
Réponses des Profs : ICI !
Annales : Achat, Corrections Officieuses
Annatuts : 2025-2026, Sommaire
MCC 25/26 : ICI
Candidature MMOPK : ICI
Terminale Santé : ICI

INSCRIPTIONS ATELIERS ORAUX : Ici

SUJETS EB SEMESTRE 2 : Ici

Newsletter : ICI


Rayons X QCM 12


Rayons X QCM 12

Messagepar Toni Stonks » 09 Nov 2022, 18:13

Salut Greg,
A propos de QCM :
2E0B610F-F047-4546-93EA-98DAB8B86E04.jpeg

Je gombran ba comment on arrive au résultat de la C avec la formule r=KZU
Merci d’avance
:dead: TUTEUR D’ANATOMIE TÊTE ET COU 2023-2024 :dead:
Toni Stonks
Tut' Anat / Anat TC
Tut' Anat / Anat TC
 
Messages: 282
Inscription: 26 Juil 2022, 10:05
Localisation: pyramide de Falicon

Re: Rayons X QCM 12

Messagepar gréGOrischémie » 02 Déc 2022, 14:58

Salut Baptiste !
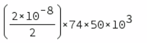
Attention K = k/2, et n'oublies pas qu'il faut convertir les kV en V

r = KZU =
Capture d’écran 2022-12-02 à 13.57.31.png
Capture d’écran 2022-12-02 à 13.57.31.png (21.88 Kio) Vu 260 fois
= 0,037 = 3,7%

BON COURAGE !!!
Tuteur de Biophysique 2022-2023
CHEF TUT' GÉNÉRAL ET ORAUX 2023-2024
Avatar de l’utilisateur
gréGOrischémie
Chef TuT'
Chef TuT'
 
Messages: 212
Inscription: 30 Aoû 2021, 14:08


Retourner vers Annatut



Qui est en ligne

Utilisateurs parcourant ce forum: Aucun utilisateur enregistré et 1 invité