Le Guide pour bien débuter la LAS : Ici

Tutoriel Forum : Ici

Planning des Séances Tutorat et EB : ICI !
Errata : Séances Tutorat et EB, Annatuts, Ronéos
Centres de Téléchargement : ICI !
Réponses des Profs : ICI !
Annales : Achat, Corrections Officieuses
Annatuts : 2025-2026, Sommaire
MCC 25/26 : ICI
Candidature MMOPK : ICI
Terminale Santé : ICI

RÉSULTATS EB 5 : Ici

Newsletter : ICI


Réactivité/hydrohalogénation


Réactivité/hydrohalogénation

Messagepar ocram » 23 Nov 2023, 19:36

Re, :glasses-cool:

chimie iso.png


Je n'ai pas du tout compris pourquoi la réponse B est comptée fausse au profit de la A...

Pourtant il me semblait que dans le cas de mésomérie (comme ici il me semble) justement le Cl- se serait dirigé vers l'insaturation pour combler la lacune laisser par le H+ ?

Merci beaucoup :curl-lip:
Avatar de l’utilisateur
ocram
Carabin vétéran
 
Messages: 424
Inscription: 23 Aoû 2023, 22:02

Re: Réactivité/hydrohalogénation

Messagepar Bidoli » 23 Nov 2023, 22:15

Hello !!

Ok alors déjà en réactivité on fait gaffe à la mésomérie que dans certains cas (qui sont pas au programme de p1) puis si on devait faire fonctionner la mésomérie ça donnerait une molécule avec plein de réactions possibles et donc trop complexe puis qui correspondrait pas avec ce qu'on te propose :

méso.PNG


Bref après ton histoire de mésomérie ça peut marcher si c'est l'alcene qui chope ton H et pas le O- comme dans ce cas :

meso2.PNG


(les photos sont flous mais si tu cliques dessus elle devrait etre bien)

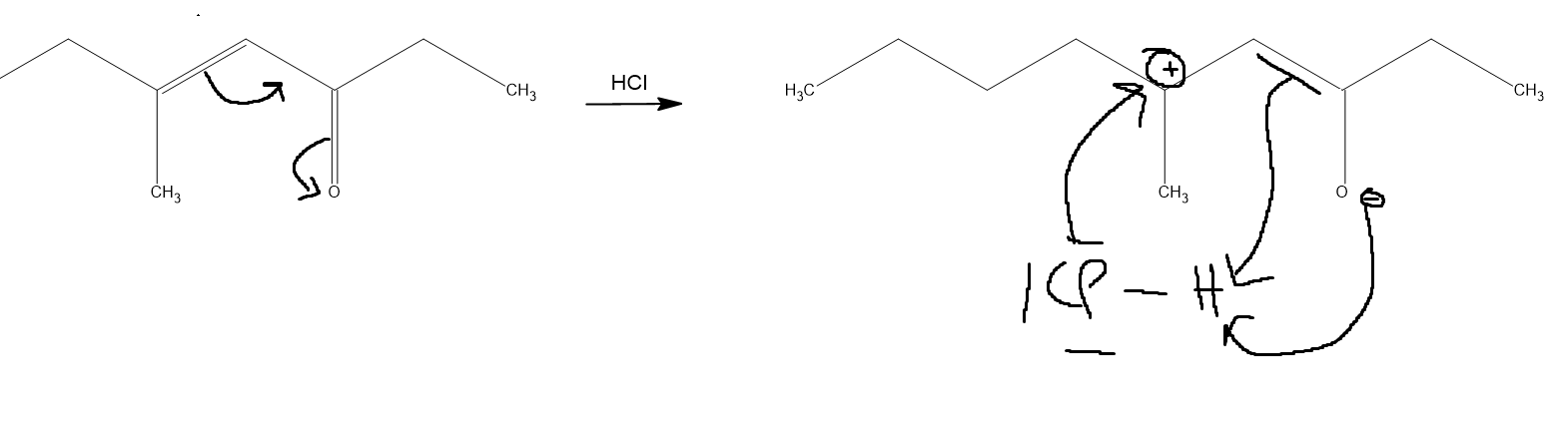
Tu vois déjà que dans ce cas on a la molécule A mais plus simplement on a ce mécanisme :

reac.PNG


Déjà on obtient ce carbocation car c'est le plus stable (car plus substitué), si on avait obtenu l'autre carbocation on aurait eu la molécule B

bref la réaction continue

fin reac.PNG


On obtient finalement la molécule A

compris ?

Bonne soirée !
Avatar de l’utilisateur
Bidoli
Tut' Chimie
Tut' Chimie
 
Messages: 292
Inscription: 07 Juil 2021, 17:58
Localisation: Dans mon lit

Re: Réactivité/hydrohalogénation

Messagepar ocram » 25 Nov 2023, 07:53

Bonjour,

Désolé mais j'ai pas super bien compris pourquoi on décale notre mésomérie, j'avais jamais vu ça ?
J'ai retrouvé un exemple qui correspond à ce cas de figure, parce que j'ai raisonné comme ça pour essayer de comprendre :

mésomérie.png


En gros, ici bah on se base par rapport à l'insaturation de l'alcène qui fait aussi partie d'une mésomérie, et le mécanisme me semble différent mais je ne saurais l'expliquer du coup :hypnotized:
Je pensais que dans le cas d'une mésomérie le H+ irais vers le plus substitué (l'inverse si c'est pas mésomérie) et l'halogène vers l'insaturation qui prime ici...

Merci encore :coeur:
Avatar de l’utilisateur
ocram
Carabin vétéran
 
Messages: 424
Inscription: 23 Aoû 2023, 22:02


Retourner vers Annales



Qui est en ligne

Utilisateurs parcourant ce forum: Aucun utilisateur enregistré et 0 invités