Il était temps que je réponde vu tous les +1 qui sont arrivés!!! Ne vous inquiétez pas votre tuteur est là

!
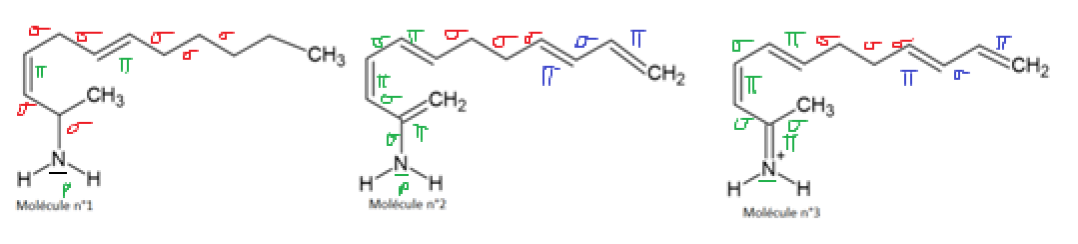
Je vous remet l'image pour que vous ayez un visuel :
Pour l'item C (3) on a un azote possédant un DNL et double liaison C==N. Il appartient à un système conjugué la difficulté est de savoir quels sont les électrons qui sont délocalisés entre la DL et le DNL. Ce que j'avais dit à la TTR c'est que si vous avez le cas où vous avez un atome possédant un DNL et une DL c'est les électrons de la DOUBLE LIAISON qui était en orbitale p pure et donc qui était délocalisés. Ici c'est seulement les électrons de la DL qui sont délocalisés pas ceux du DNL donc l'item est compté comme faux. J'avais pris cette exemple dans ma fiche de cours avec le noyau de pyrol si vous voulez davantage d'explication.
Pour l'item D (4) vous voyez que l'azote appartient à système conjugué donc les électrons peuvent se délocaliser donc c'est compté comme vrai.
Il y a eu une inversion entre les items C et D dans la correction attention !
J'espère que maintenant c'est plus clair

!