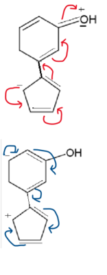
J'ai une question, pourquoi c'est pas un - sur l'oxygène puisqu'on lui rajoute un DNL et un - en bas à gauche si on rajoute la liaison on rajoute des électrons non?
QCM 8 D) de "Correction- DM n°2 Effet électronique et mésomérie"
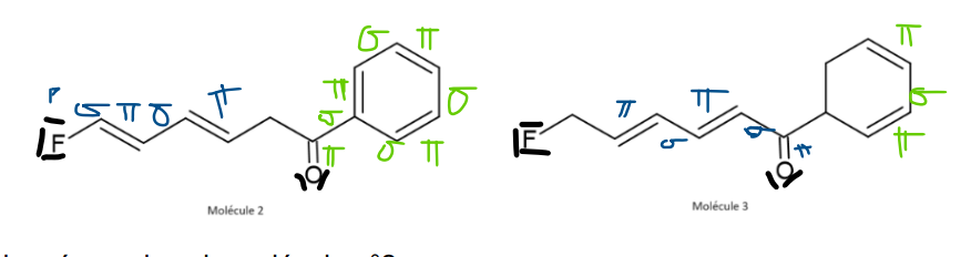
Et autre question : "Le cycle de la molécule 3 a un système conjugué qui le traverse complètement" (QCM9 D) du meme sujet); je comprends pas trop ce que veut dire cette phrase est j'aurais tendance à dire que c'est plutot le cycle de la molécule 2 qui a un système qui le "traverse complètement" après peut etre que c'est parce que je sais pas vraiment ce que ca veut dire un système qui traverse complètement du coup ?
Merci beaucoup d'avance vous êtes tous au top



