Bonjour !
J'espère que ça va, en effet c'est un piège de la formule topographique, il n'y a pas les hydrogènes dessinés, il faut les deviner, je te montre ça tu verras c'est pas dur
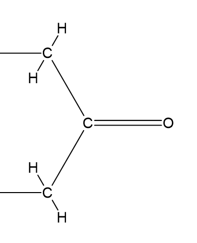
Alors ici pourquoi ce n'est pas une cétone, je rappelle qu'une cétone c'est bel et bien une liaison C=O, MAIS ton carbone est relié à 2 autres carbones de cette façon :

- ccétone.PNG (6.28 Kio) Vu 131 fois
Alors que l'aldéhyde il y a aussi une liaison C=O, mais ton carbone doit obligatoire être relié à un Hydrogène, comme ça :
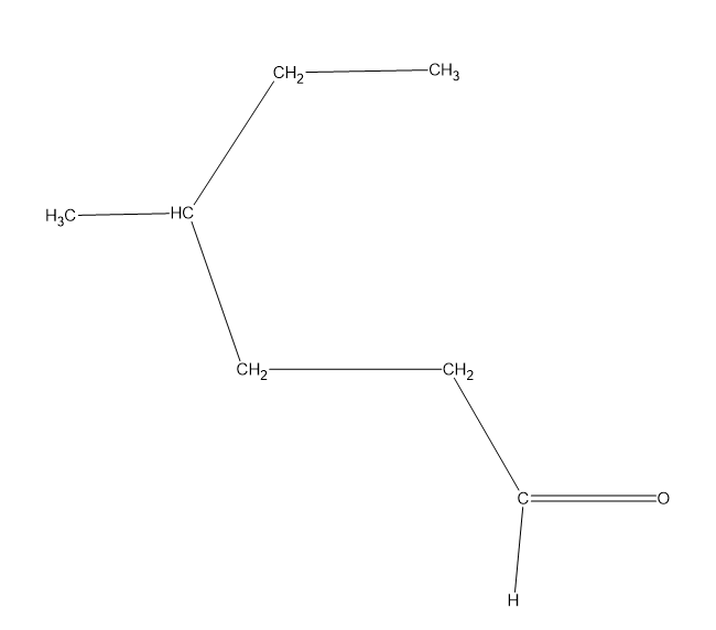
Maintenant revenons à la molécule du dm qui est celle-ci :

- moldm.PNG (4.34 Kio) Vu 131 fois
On remarque bien le C=O mais petite subtilité, tu vois que ton carbone du C=O n'est relié qu'à un seul autre carbone, on voit donc qu'il y a un problème, pourquoi ? Ton carbone a 4 electrons de valence (dernière couche electronique) capable de faire des liaisons, or ici il en utilise 2 dans la liaison C=O (1 electron celibataire=1 liaison possible) et 1 dans la liaison C-C donc logiquement il reste 1 electron non lié, ce qui est faux, cet électron est en fait utilisé dans une liaison C-H non montré en formule topologique, si on devait passer en formule semi-développée, on aurait cette molécule, on voit mieux le H de l'aldéhyde ducoup :

- molexpl.PNG (8.39 Kio) Vu 131 fois
Pour faire simple, en formule topologique tu regardes tes liaisons autour du carbone, s'il y en a pas 4, c'est qu'il y a des hydrogènes, si t'as 3 liaisons à ton C il faut en déduire 1 seul hydrogène, si tu as 2 liaisons au C alors tu as 2 hydrogènes, il faut que ton carbone utilise bien ses 4 électrons autour de lui
J'espère que c'est bien compris, sinon hésite pas à me dire ce qui va pas ! Bon courage et bonne journée !
