Le Guide pour bien débuter la LAS : Ici

Tutoriel Forum : Ici

Planning des Séances Tutorat et EB : ICI !
Errata : Séances Tutorat et EB, Annatuts, Ronéos
Centres de Téléchargement : ICI !
Réponses des Profs : ICI !
Annales : Achat, Corrections Officieuses
Annatuts : 2025-2026, Sommaire
MCC 25/26 : ICI
Candidature MMOPK : ICI
Terminale Santé : ICI

RÉSULTATS EB 5 : Ici

Newsletter : ICI


Radioactivité - Calcul - Possibilité d'émission B+


Radioactivité - Calcul - Possibilité d'émission B+

Messagepar AroNévrisme » 11 Sep 2023, 16:43

Bonjouur !

Je sais pas trop si c'est ici qu'il faut mettre nos questions sur des anciens DM

J'ai fait un DM de l'année dernière et je ne comprends pas bien la correction qui est donnée.
De mon côté, j'ai réalisé le calcul tel que :
Ed = [M(A,Z) - M(A,Z-1)] * 931,5
Ce, afin de voir si Ed est bien supérieur à 1,022 MeV

Ce qui donne :
Ed = (9,03103-9,01332)*931,5 = 16,497MeV > 1,022MeV --> B+ possible

Voir en PJ le QCM et la correction donnée l'année dernière.

Merci d'avance.
Fichiers joints
Capture d'écran 2023-09-11 174238.png
Capture d'écran 2023-09-11 174211.png
Joyeux Hunger Games, et puisse le sort vous être favorable


MMA
Avatar de l’utilisateur
AroNévrisme
Carabin addicted
 
Messages: 1090
Inscription: 22 Juin 2023, 21:00

Re: Radioactivité - Calcul - Possibilité d'émission B+

Messagepar AnIrisdie » 12 Sep 2023, 09:59

Saluuut :lool:

C’est une question très intéressante mais avant d’y répondre, je vais corriger une petite partie dans ton développement!

Quand tu veux savoir si oui ou non une Béta+ est possible:
IL NE FAUT PAS OUBLIER DE SOUSTRAIRE LA MASSE DE DEUX ÉLECTRONS

Il faut également que tu aies une idée des ordres de grandeur de ces calculs d’énergies, elles se situent généralement entre 4 et 10 MeV alors une valeur de 16 MeV est bien trop grande.

La masse d’un électron: 0,0055 u

Donc DeltaM = 9,03103 - 9,01332 - 2x0,0055
= 0,01771 - 0,011 (c’est de là qu’il sort ce 0,011)
DeltaM = 0,00671 u

Maintenant qu’on a le défaut de masse, on fait 0,00671 x 931,5 = 6,25 MeV
Comme 6,25 MeV > 1,022 MeV alors la réaction Béta+ est possible.


Maintenant pourquoi il n’y a pas le même raisonnement dans la correction de ce qcm là ?

Enfaite c’est une technique pour aller plus vite, perso moi je la conseille pas trop parce que la plupart du temps on va te demander de calculer cette énergie et avec cette technique tu peux juste dire si la Béta+ peut avoir lieu ou non.
C’est à propos de cette partie du cours (fin de la page 12 de ma fiche), où on dit que:

783242AC-B3AC-47B0-A630-00F1D927E19A.jpeg


Pour que la réaction Béta+ ai lieu, il faut que Ed> 0 et donc que DeltaM > masse de 2 électron alors DeltaM - masse de 2 électrons doit être supérieur à 0, est-ce que tu me suis toujours?

Enfaite c’est le même raisonnement qu’on utilise, juste dans l’un on parle en terme d’énergie(Ed -1,022MeV) et dans l’autre on parle en terme de masse(DeltaM -0,011u) , on en arrive à la même conclusion! Cette technique-là est techniquement plus rapide mais on ne peut pas répondre à tous les items, c’est à toi de voir!

J’espère que c’est plus clair pour toi! :P

Bonne journée et bon courage pour la suite! :coeur:
LA BIOPHY C'EST VRAIMENT INCROYABLE!!


Passez vos posts en résolu quand vous avez tout bien compris ;)
Avatar de l’utilisateur
AnIrisdie
Tut' Biophy'
Tut' Biophy'
 
Messages: 612
Inscription: 16 Aoû 2022, 07:56

Re: Radioactivité - Calcul - Possibilité d'émission B+

Messagepar AroNévrisme » 12 Sep 2023, 10:18

Salut, merci beaucoup pour la réponse !

Je pense que je n'ai pas bien compris la formule que tu as mis dans ta réponse alors. De ce que j'en avais déduis, pour qu'on ait un B+, il faut que :

[M(A,Z)-M(A,Z-1)] * c² > 2me * c²

Or c² = 931,5 et 2me * c² = 1,022MeV

Soit : [M(A,Z)-M(A,Z-1)] * 931,5 > 1,022MeV


Ce serait possible d'avoir une petite ré-explication sur cette formule ? Sinon j'ai bien compris pour tout le reste.
Joyeux Hunger Games, et puisse le sort vous être favorable


MMA
Avatar de l’utilisateur
AroNévrisme
Carabin addicted
 
Messages: 1090
Inscription: 22 Juin 2023, 21:00

Re: Radioactivité - Calcul - Possibilité d'émission B+

Messagepar AnIrisdie » 12 Sep 2023, 10:35

C’est tout à fait ça! Dans ton développement, tu parles en terme d’énergies mais on peut parler en terme de masses, ça marche pareil!
7D8458F2-DC77-455D-99E6-626C9FAEDCD7.jpeg


Dans le deuxième cas, on voit que les c2 peuvent se simplifier parce qu’on en a de chaque côté de l’égalité du coup on ne parle plus en terme d’énergie mais bien en terme de masse puisqu’on a plus le c2 qui permet la conversion.

J’espère que ça répond à ta question et si ça n’est pas le cas, n’hésite pas à me le dire! :coeur:
LA BIOPHY C'EST VRAIMENT INCROYABLE!!


Passez vos posts en résolu quand vous avez tout bien compris ;)
Avatar de l’utilisateur
AnIrisdie
Tut' Biophy'
Tut' Biophy'
 
Messages: 612
Inscription: 16 Aoû 2022, 07:56

Re: Radioactivité - Calcul - Possibilité d'émission B+

Messagepar AroNévrisme » 12 Sep 2023, 10:46

Je vais encore t'embêter un peu, mais je ne comprends pas trop pourquoi mon premier calcul est donc faux en suivant cette formule.
Dans ton explication tu dis bien qu'il faut enlever 2me, mais dans la formule on dit juste de faire notre masse * 931,5 et de voir si c'est supérieur ou non à 1,022MeV.

De ce que je déduis la formule ce serait plutôt [M(A,Z)-M(A,Z-1)-2me] * 931,5 > 1,022MeV

Après j'ai plus de question, promis :weep:
Joyeux Hunger Games, et puisse le sort vous être favorable


MMA
Avatar de l’utilisateur
AroNévrisme
Carabin addicted
 
Messages: 1090
Inscription: 22 Juin 2023, 21:00

Re: Radioactivité - Calcul - Possibilité d'émission B+

Messagepar AnIrisdie » 12 Sep 2023, 11:11

Pas de soucis, ne t’inquiète pas, on est là pour ça !

Alors enfaite ce qu’il faut comprendre c’est que ce seuil de 1,022MeV est là pour dire si oui ou non la Béta est possible parce que si ce seuil n’est pas atteint, seule la CE est possible.

MAIS ce seuil existe parce que CETTE ÉNERGIE VA ÊTRE UTILISÉE pour la création de la particule Béta+ et du neutrino.
Donc quand on calcule l’Énergie libérée, on doit forcément enlever ces 1,022MeV parce qu’ils ne vont pas être libérés mais être directement utilisés, je sais pas si c’est très clair…?

Mais du coup ta formule qui est:

[M(A;Z) - M(A;Z-1)] x 931,5 > 1,022 MeV se transforme en [M(A;Z) - M(A;Z-1)] x 931,5 - 1,022 MeV > 0

Est-ce que c’est mieux?
LA BIOPHY C'EST VRAIMENT INCROYABLE!!


Passez vos posts en résolu quand vous avez tout bien compris ;)
Avatar de l’utilisateur
AnIrisdie
Tut' Biophy'
Tut' Biophy'
 
Messages: 612
Inscription: 16 Aoû 2022, 07:56

Re: Radioactivité - Calcul - Possibilité d'émission B+

Messagepar AroNévrisme » 12 Sep 2023, 12:01

D'accord, merci beaucoup du temps pris pour les explications ! :)
Joyeux Hunger Games, et puisse le sort vous être favorable


MMA
Avatar de l’utilisateur
AroNévrisme
Carabin addicted
 
Messages: 1090
Inscription: 22 Juin 2023, 21:00

Re: Radioactivité - Calcul - Possibilité d'émission B+

Messagepar AnIrisdie » 12 Sep 2023, 12:08

Tu es sûr que ça va? Je sais qu’en P1 j’avais du mal avec cette notion donc je comprends que ça soit pas évident!

Si ce n’est toujours pas clair, n’hésite pas je trouverai d’autres explications!
LA BIOPHY C'EST VRAIMENT INCROYABLE!!


Passez vos posts en résolu quand vous avez tout bien compris ;)
Avatar de l’utilisateur
AnIrisdie
Tut' Biophy'
Tut' Biophy'
 
Messages: 612
Inscription: 16 Aoû 2022, 07:56

Re: Radioactivité - Calcul - Possibilité d'émission B+

Messagepar AroNévrisme » 12 Sep 2023, 12:36

L'explication était claire. J'ai bien compris que notre 1,022MeV est utilisée lorsqu'on a le rayonnement B+ qui est produit par cette réaction radioactive, d'où le fait qu'on doive dépasser ce seuil d'énergie pour avoir un B+.

Le souci que j'avais c'était au niveau de l'application directe de la formule, pas de la compréhension de tout ce qui fait qu'elle en découle. Mais en relisant tes calculs au tout début j'ai simplement compris que dans les QCM il faut enlever les 2me à notre DeltaM pour ensuite pouvoir calculer l'énergie et voir si le rayonnement est possible (ce que je ne vois pas de manière très claire en revanche dans la formule elle-même).

Normalement je saurais le refaire en QCM, enfin j'espère ahah :D
Joyeux Hunger Games, et puisse le sort vous être favorable


MMA
Avatar de l’utilisateur
AroNévrisme
Carabin addicted
 
Messages: 1090
Inscription: 22 Juin 2023, 21:00

Re: Radioactivité - Calcul - Possibilité d'émission B+

Messagepar AnIrisdie » 12 Sep 2023, 13:41

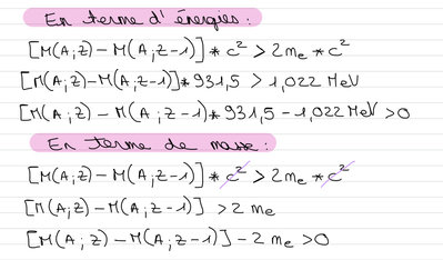
La formule exacte qu’il faut savoir appliquer pour ce type de qcm c’est celle là :

6FFF4038-3525-4C74-B5E9-E323BE96CDA1.jpeg


Tu remarqueras qu’il y a bien les 2 électrons, enfaite toute la partie qui pose problème se trouve sur la deuxième moitié de la page 12!

Bonne journée! :coeur: :coeur:
LA BIOPHY C'EST VRAIMENT INCROYABLE!!


Passez vos posts en résolu quand vous avez tout bien compris ;)
Avatar de l’utilisateur
AnIrisdie
Tut' Biophy'
Tut' Biophy'
 
Messages: 612
Inscription: 16 Aoû 2022, 07:56


Retourner vers Annatut



Qui est en ligne

Utilisateurs parcourant ce forum: Aucun utilisateur enregistré et 1 invité